定義
系統傳遞函式
線性定常系統的傳遞函式,定義為零初始條件下,系統輸出量的拉氏變換與輸入量的拉氏變換之比。
如對於典型的反饋系統,
梅森公式
梅森公式有
則經過整理,其傳遞函式為:
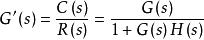
梅森公式其中G(s)稱為開環傳遞函式,G'(s)稱為閉環傳遞函式;對於如圖所示的系統,沒有特殊聲明,傳遞函式一般指閉環傳遞函式
結構圖與信號流圖
為了抽象的表示系統,在控制領域中引入結構圖以及信號流圖兩種常用形式來表示系統。
結構圖,或形象的稱為方框結構圖,就是由許多對信號進行單向運算的方框和一些信號流向線組成的,其基本單元包括:信號線、引出點、比較點、方框。如上一節傳遞函式插圖即為結構圖。
信號流圖,起源於梅森利用圖示描述一個或一組線性代數方程式,它是由節點和支路組成的一種信號傳遞網路。其中,節點標誌系統的變數,支路相當於乘法器,信號只能沿箭頭單向傳遞,給定系統的信號流圖不唯一。
梅森公式公式
由於結構圖或信號流圖都可以完整的表征整個系統,並且有著方便直觀的化簡方法,所以可以通過這兩種圖來求取系統的傳遞函式,但是當圖過於龐大複雜,一點一點去化簡就顯得十分麻煩,為此在控制工程中常用梅森增益公式來直接求取系統的傳遞函式。
梅森公式如下 ,
梅森公式其中,
n——為前向通道總數;
P——系統總傳遞函式;
梅森公式,稱為系統的特徵式
p表示第k條前向通路的總增益;
△——表示第k條前向通路的余因子式。
參數詳細說明
特徵式
梅森公式△ ——特徵式中第二項表示所有單獨迴路增益之和,第三項表示每兩個互不接觸迴路增益乘積之和,第四項表示每三個互不接觸迴路增益乘積之和,以此類推;
其中:
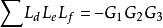
L —— 所有不同迴路的傳遞函式之和;
LL—— 所有兩兩不接觸迴路傳遞函式乘積之和(三個迴路兩兩不接觸不代表三個迴路互不接觸);
LLL —— 所有三個互不接觸迴路傳遞函式乘積之和;
以此類推。
前向通路特徵式的餘子式
△——第k條前向通路特徵式的餘子式,即對於流圖的特徵式△,將與第k條前向通路相接觸的迴路
傳遞函式代以零值,餘下的即為△。
迴路傳遞函式
迴路傳遞函式是指反饋迴路的前向通道和反饋通道傳遞函式的乘積,包含反饋極性的正、負號。
計算步驟
①確定前向迴路總數n;
②計算所有迴路增益L;
③計算互不接觸迴路L;
梅森公式
梅森公式④計算 到 ;
⑤計算餘子式△k;
⑥綜合結果得到傳遞函式。
舉例
以上方信號流圖為例(打開圖片以查看),
梅森公式計算過程如下圖所示,
①確定前向迴路總數n=4;
②計算所有迴路增益L
梅森公式
梅森公式③計算互不接觸迴路
梅森公式
梅森公式
梅森公式
梅森公式
梅森公式④計算 到
梅森公式
梅森公式⑤計算餘子式△k
梅森公式⑥綜合結果得到傳遞函式
梅森公式所以
梅森公式注意事項
(1)n條前向通道數是指從輸入信號至輸出信號前向通道的總數,不要漏掉,不要重複,也不要錯劃。注意信號傳遞的單向性。
(2)單獨迴路數和互不接觸迴路數不要漏掉,亦不要重複。△和△應計算無誤。
(3)反饋的極性應體現在傳遞函式的正負上,一定要注意符號。
(4)梅森公式只能用於輸入節點與輸出節點之間。

