1.介紹
梁的種類繁多,按照軸線形狀,可分為直梁和曲梁;按照支持的形式,可分為懸臂樑、簡支梁、連續梁、彈性基礎梁等(圖1)。梁的支反力可由靜力平衡條件確定的,稱為靜定梁(見靜定結構),如懸臂樑和簡支梁;不能由靜力平衡條件確定的,稱為靜不定梁(見靜不定結構),如連續梁和彈性基礎梁。
梁[力學]在橫向載荷作用下,梁軸線的曲率會發生變化,直梁的軸線由直變曲,曲梁軸線的曲率增大或減小。這類變形稱為彎曲變形,變形後的軸線稱為撓曲線。
早在17世紀,伽利略就研究過梁的彎曲問題。在隨後的一百多年中,經E.馬略特、雅各布第一·伯努利(見伯努利家族)、A.帕倫、C.-A.de庫侖等科學家的繼續研究,基本上形成以平截面假設為基礎的彎曲理論。這一近似理論滿足了工程上的要求並得到廣泛的套用。
2.彎曲形式
若梁的橫截面有一縱向對稱軸,則梁有一縱向對稱面。梁的軸線即為縱向對稱面內的直線(直梁情形)或曲線(曲梁情形)。若作用於樑上的載荷都在這個縱向對稱面內,則撓曲線也是這一平面內的曲線,這類彎曲稱為平面彎曲,是工程中最常見的彎曲形式。若梁的橫截面無對稱軸,則梁也無縱向對稱面,但只要載荷通過彎心連線,且平行於截面的形心主慣性軸(見截面的幾何性質),梁的變形仍為平面彎曲。在橫截面無對稱軸的情況下,如果載荷通過彎心但不平行於截面的形心主慣性軸,則梁在兩個形心主慣性平面內同時產生彎曲變形,變形後的撓曲線不再位於載荷作用的縱向平面內,這種彎曲稱為非對稱彎曲。若梁的橫截面雖有對稱軸,而載荷通過截面形心而不與對稱軸重合,梁也會在兩個形心主慣性平面內同時彎曲,變形後的撓曲線也不在載荷作用的縱向平面內,這種彎曲有時稱為斜彎曲。
3.剪力圖和彎矩圖
對橫向載荷作用下的梁(圖2a),用假想的橫截面mn把梁截開。由於每一部分處於平衡狀態,所以在截面mn上,必然有一個分布的內力系,它代表mn截面左右兩部分之間的相互作用。根據平衡條件,截面上的內力系可用一個大小為M的力矩和一個與截而相切的、大小為Q的力代替(圖2b),前者稱為mn截面上的彎矩,後者稱為mn截面上的剪力。不同截面上的彎矩和剪力一般不相同。在實際問題中,為便於計算梁內的應力和梁的變形,常用圖表示剪力和彎矩隨截面位置的變化,這些圖稱為剪力圖和彎矩圖。例如圖3中在集中力P作用下的簡支梁,其剪力和彎矩分別如其下的兩折線所示。圖中橫坐標x表示截面位置,縱坐標分別為該截面上的剪力Q和彎矩M。若在梁的某一部分內,截面上只有彎矩而無剪力,則這一部分梁的彎曲稱為純彎曲;既有彎矩又有剪力的彎曲,稱為橫力彎曲。
梁[力學]
梁[力學]4.彎曲正應力
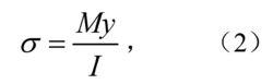
每一梁截面上的彎矩都由截面上的彎曲正應力所平衡。由梁截面上的彎矩可進一步求出截面上正應力的分布規律。根據平截而假設,梁內必然存在一個變形前後纖維長度不改變的中性層。它把梁分為兩部分,一部分受拉,另一部分受壓。中性層和橫截面的交線稱為中性軸(圖4)。對直梁來說,彎曲變形後撓曲線上一點的曲率半徑ρ和該點所在截面上的彎矩M之間有以下關係:
梁[力學]
梁[力學]式中E為材料的彈性模量,I為截面對中性軸的慣性矩。EI反映了梁抵抗彎曲變形的能力,稱為彎曲剛度。梁內任一纖維的受力和變形,與它到中性層的距離成正比,即橫截面上任意點的彎曲正應力與該點到中性軸的距離成正比,如圖5所示。圖中正應力用右側的箭頭表示。彎曲正應力的計算公式為:
梁[力學]
梁[力學]式中σ為橫截面上一點的正應力值;y為該點到中性軸的距離。由於橫截面上離中性軸越遠的點的正應力越大,所以,為了充分利用材料,應儘可能把材料置放於離中性軸較遠處。這樣梁能以較小的彎曲變形抵抗彎矩的作用。採用工字梁或箱形梁的道理就在於此。
上述直梁彎曲理論,在純彎曲的情況下是精確的。如果把它套用於橫力彎曲,所得結果是近似的,但對比較細長的梁其精確度已可滿足工程要求。對軸線曲率半徑遠大於橫截面高度的曲梁,仍然可以使用式(2)。但如果軸線曲率半徑和橫截面高度的量級相同(如吊鉤),則正應力沿截面高度的變化規律為雙曲線(圖6),而不再象直梁那樣按直線規律分布。
梁[力學]5.彎曲剪應力
梁[力學]在橫力彎曲下,梁截面上除了有與彎矩對應的正應力外,還有與剪力對應的彎曲剪應力。剪應力的分布與梁的幾何形狀有關,它在變截面梁和等截面梁中的分布也有很大差異。用材料力學的方法,可以計算截面呈某些特殊形狀的桿件的剪應力。例如,在狹長矩形截面梁中,剪應力沿截面的高度按拋物線規律分布(圖7)。圖中左邊的箭頭表示剪應力的方向,右邊的陰影表示剪力的大小。在中性軸上,剪應力最大( ),而在橫截面上下邊緣,剪應力等於零。
梁[力學]在梁的彎曲問題中,彎曲正應力是主要的,彎曲剪應力是次要的,有時可忽略。但對於一些特殊情況的梁,如跨度較短的梁、薄腹板梁、夾層梁等,剪應力不可忽略。
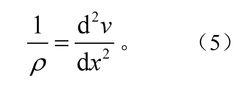
6.彎曲變形
在如圖8所示的坐標系中,以v表示直梁平面彎曲撓曲線上一點的縱坐標,則撓曲線的方程式可以寫作:
v=f(x),(3)
梁[力學]v就是橫坐標為x的梁截面形心的垂直位移,稱為撓度。梁截面在彎曲變形中對其原來的位置所轉過的角度θ稱為該截面的轉角。工程中常見的直梁,其撓曲線是一非常平坦的曲線,即撓度v遠小於跨度l,轉角θ也非常小。這樣,截面轉角θ近似地等於撓曲線上對應點的斜率tgθ,即
梁[力學]
梁[力學]而曲率 也可近似地寫成:
梁[力學]將上式中的曲率代入公式(1),得出撓曲線的近似微分方程式:
梁[力學]根據以上方程式,通過積分法,共軛梁法或差分法等,就可求得截面轉角及撓度。
以上的討論,都假設材料是線彈性的,服從胡克定律。若應力超出彈性範圍,材料中就會出現塑性變形。在這種情況下,平截面假設仍然有效,但應力-應變關係不再是線性的,且在載入和卸載過程中遵循不同的規律。在考慮塑性變形的基礎上研究梁的彈塑性彎曲問題,會得出一些不同的結果 (見塑性力學) 。
