簡介
格拉德-沙弗拉諾夫方程為理想電漿中用角向磁通描述電漿平衡的方程。該方程最初的形式為二維的,但也可以通過一維格拉德-沙弗拉諾夫方程來描述一維螺旋磁鏡位形的電漿平衡。
格拉德-沙弗拉諾夫方程[格拉德-沙弗拉諾夫方程]
格拉德-沙弗拉諾夫方程[格拉德-沙弗拉諾夫方程]
格拉德-沙弗拉諾夫方程[格拉德-沙弗拉諾夫方程]
格拉德-沙弗拉諾夫方程[格拉德-沙弗拉諾夫方程]其中為磁導率,為壓強,。
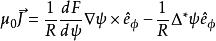
磁場與電流由下式給定:
格拉德-沙弗拉諾夫方程[格拉德-沙弗拉諾夫方程]
格拉德-沙弗拉諾夫方程[格拉德-沙弗拉諾夫方程]
格拉德-沙弗拉諾夫方程[格拉德-沙弗拉諾夫方程]的具體形式為:
格拉德-沙弗拉諾夫方程[格拉德-沙弗拉諾夫方程]二維方程
格拉德-沙弗拉諾夫方程[格拉德-沙弗拉諾夫方程]