詳解
格拉德-沙弗拉諾夫方程[格拉德-沙弗拉諾夫方程]
格拉德-沙弗拉諾夫方程[格拉德-沙弗拉諾夫方程]
格拉德-沙弗拉諾夫方程[格拉德-沙弗拉諾夫方程]
格拉德-沙弗拉諾夫方程[格拉德-沙弗拉諾夫方程]其中 為磁導率,為壓強,
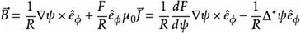
磁場與電流由下式給定:
格拉德-沙弗拉諾夫方程[格拉德-沙弗拉諾夫方程]
格拉德-沙弗拉諾夫方程[格拉德-沙弗拉諾夫方程]的具體形式為:
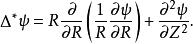
格拉德-沙弗拉諾夫方程[格拉德-沙弗拉諾夫方程]二維方程
格拉德-沙弗拉諾夫方程[格拉德-沙弗拉諾夫方程]推導(在平板坐標中)
格拉德-沙弗拉諾夫方程[格拉德-沙弗拉諾夫方程]
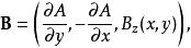
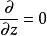
格拉德-沙弗拉諾夫方程[格拉德-沙弗拉諾夫方程]在下文中,假設系統是二維的 作為不變軸,即適用於所有數量。然後磁場可以用笛卡爾坐標寫成
格拉德-沙弗拉諾夫方程[格拉德-沙弗拉諾夫方程]或者更緊湊
格拉德-沙弗拉諾夫方程[格拉德-沙弗拉諾夫方程]
格拉德-沙弗拉諾夫方程[格拉德-沙弗拉諾夫方程]
格拉德-沙弗拉諾夫方程[格拉德-沙弗拉諾夫方程]哪裡是面內(x和y分量)磁場的矢量勢。請注意,基於 B的這種形式,我們可以看到 A在任何給定的磁場線上都是常數,因為到處都是垂直於 B的。
通過壓力和磁力的平衡來描述二維靜止的磁結構,即:
格拉德-沙弗拉諾夫方程[格拉德-沙弗拉諾夫方程]
格拉德-沙弗拉諾夫方程[格拉德-沙弗拉諾夫方程]
格拉德-沙弗拉諾夫方程[格拉德-沙弗拉諾夫方程]
格拉德-沙弗拉諾夫方程[格拉德-沙弗拉諾夫方程]
格拉德-沙弗拉諾夫方程[格拉德-沙弗拉諾夫方程]
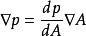
格拉德-沙弗拉諾夫方程[格拉德-沙弗拉諾夫方程]其中 p是電漿壓力, j是電流。眾所周知, p是沿著任何場線的常數,(從那以後)到處都是垂直於 B)。另外,二維假設()表示左手側的z分量必須為零,因此右手側磁力的z分量也必須為零。這意味著,即 平行於.
上一個等式的右側可以分為兩部分:
格拉德-沙弗拉諾夫方程[格拉德-沙弗拉諾夫方程]
格拉德-沙弗拉諾夫方程[格拉德-沙弗拉諾夫方程]
格拉德-沙弗拉諾夫方程[格拉德-沙弗拉諾夫方程]
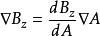
格拉德-沙弗拉諾夫方程[格拉德-沙弗拉諾夫方程]哪裡{\ displaystyle \ perp}下標表示垂直於平面的平面中的分量-軸。該 上述等式中的電流分量可以用一維矢量勢寫成
飛機場是
格拉德-沙弗拉諾夫方程[格拉德-沙弗拉諾夫方程]並且使用Maxwell-Ampère方程,平面內電流由下式給出
格拉德-沙弗拉諾夫方程[格拉德-沙弗拉諾夫方程]
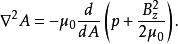
格拉德-沙弗拉諾夫方程[格拉德-沙弗拉諾夫方程]這些結果可以代入表達式中 產量:
格拉德-沙弗拉諾夫方程[格拉德-沙弗拉諾夫方程]
格拉德-沙弗拉諾夫方程[格拉德-沙弗拉諾夫方程]
格拉德-沙弗拉諾夫方程[格拉德-沙弗拉諾夫方程]
格拉德-沙弗拉諾夫方程[格拉德-沙弗拉諾夫方程]
格拉德-沙弗拉諾夫方程[格拉德-沙弗拉諾夫方程]
格拉德-沙弗拉諾夫方程[格拉德-沙弗拉諾夫方程]
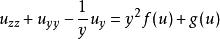
格拉德-沙弗拉諾夫方程[格拉德-沙弗拉諾夫方程]以來和 是一個沿著場線的常量,只有因此 和。因此,分解出來和重新排列術語產生 Grad-Shafranov方程:
格拉德-沙弗拉諾夫方程[格拉德-沙弗拉諾夫方程]