簡介
柯西主值積分是以特殊方式定義的反常積分,其值又稱為相應積分的柯西主值。
柯西主值積分
柯西主值積分
柯西主值積分
柯西主值積分
柯西主值積分
柯西主值積分
柯西主值積分
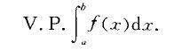
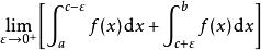
柯西主值積分若一元函式 在 上 以的內點 為惟一瑕點,則當 存在(有限)時,此極限值稱為 在 上關於 的柯西主值,記為
柯西主值積分這裡 P.V.是主值的英文principal value的縮寫。
反常積分
定積分的積分區間都是有限的,被積函式都是有界的。但在實際套用和理論研究中,還會遇到一些在無限區間上定義的函式或有限區間上的無界函式,對它們也需要考慮類似於定積分的問題。因此,有必要對定積分的概念加以推廣,使之能適用於上述兩類函式。這種推廣的積分,由於它異於通常的定積分,故稱之為廣義積分,也稱之為反常積分。
無窮積分
無窮積分
柯西主值積分的定義,如換成
柯西主值積分則稱此積分為柯西主值。

