林價
正文
一般指人工培育的立木價值的貨幣表現,即立木(林地上生活著而尚未伐倒的樹木)的價格。以培育立木(包括採種、育苗、造林、撫育管理到立木成熟)過程中,凝結在活立木實體中的社會必要勞動量為基礎形成。在資本主義國家,營林者多將立木加工成木材銷售,因此林價通常根據木材的市場價格倒算,即木材市場價格扣除採運費用、利潤和稅金以後的部分。美國在第二次世界大戰前,林價在木材價格中只占25%,1950~1976年總平均已占50%以上,個別年份甚至高達85%以上。瑞典、芬蘭、日本等林業已開發國家近年來林價占木材價格中60~80%。
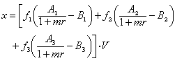
林價的計算公式有多種。如十月革命前的沙皇俄國,曾用市場價格作為確定林價的標準。從1896年開始,官方林業所指定的計算公式是:




;A為市場價單價;B為單位材積費用;m為資金回收期;r為企業利潤率;p為每個月的利率。 在中國,國有天然林實行立木的無償調撥,沒有林價。調入木材單位按國家規定,僅按木材調撥數量向國家指定的單位交付少量的育林費,作為營林企業再生產費用。集體所有林,在實行國家派購制度時,林價由國家規定。國有人工林林價也由國家規定。由於歷史的原因,規定的林價長期偏低,80年代初大約占木材價格的20%。1985年國家取消對集體所有林的木材派購,林價由市場來調節,它在木材價格中的比重上升。
中國林業經濟學界普遍認為,為了保證國有天然林的恢復,需要確定合理的林價,實行有償調撥。合理的林價可由林價制度來保證。林價制度的內容包括:①林價區。即根據各林區森林資源的狀況,森林在當地的地位和作用,分別劃分為若干林價區,國家對不同的林價區確定不同的林價水平。②林價等級。根據伐區到鐵路裝運點、流送碼頭的距離,劃分若干林價等級和等級差價。③樹種差價。根據各地區林木生長情況、樹種、徑級等,確定林木的差價。實行林價制度,有利於自覺運用價值規律,發揮價格的調節作用,使培育森林的勞動耗費得到補償,並獲得合理的贏利,以發揮營林者的積極性,提高森林集約經營的水平。
在中國,計算國有林林價,一般主張採用以下公式:

中國在實踐上也採取林價占木材價格的比例來確定。1986年10月,國務院在《關於研究解決國有林區森林工業問題的會議紀要》中規定,從1987年1月1日起,東北、內蒙古國有林區森工採運企業提取林價的標準,按木材銷售收入的21%提取。
