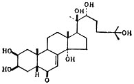
【來源】牛膝
【英文名稱】Cyasterone
【別名】(3S,4S,5R)-4-[(2R,3R)-2,3-Dihydroxy-3-[(2S,3R,5R,9R,10R,13R,14S,17S)-2,3,14-trihydroxy-10,13-dimethyl-6-oxo-2,3,4,5,9,11,12,15,16,17-decahydro-1H-cyclopenta[a]phenanthren-17-yl]butyl]-3,5-dimethyloxolan-2-one
【分 子 式】C29H44O8
【分 子 量】520.65
【CAS】17086-76-9
【檢測方式】HPLC≥98%
【規格】10mg 20mg 50mg 100mg 500mg 1g (可根據客戶需求包裝)
【性狀】 本品為白色針晶粉
【溶解性】溶於甲醇、乙醇,DMSO
【作用與用途】本品用於對照,含量測定。
【藥理性質】
【用法】 色譜條件: (僅供參考)
【貯藏方法】 0-10°C,避光保存。
【注意事項】 本品應在低溫下保存,長時間在暴露在空氣中,含量會有所降低。
【結構式】


