定義
考慮兩個系統
李雅普諾夫指數
此圖取自洛倫茲1961年的列印結果
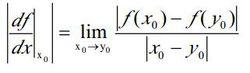
李雅普諾夫指數設其初始值微小誤差為
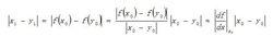
經過一次疊代後有
李雅普諾夫指數其中
李雅普諾夫指數第二次疊代得到
李雅普諾夫指數········
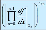
經過第n次疊代得
李雅普諾夫指數可見,兩個系統對初始擾動的敏感度由導數|df/dx|在x0處的值決定,它與初始值x0有關。映射整體對初值敏感性需對全部初始條件平均,要進行n次疊代:
李雅普諾夫指數每次疊代平均分離值為
李雅普諾夫指數兩個系統如果初始存在微小的差異,隨著時間(或疊代次數)產生分離,分離程度常用李雅普諾夫(Lyapunov)指數來度量,它為幾何平均值的對數
李雅普諾夫指數式中xn為第n次疊代值。令n趨於無窮,得到李雅普諾夫指數的計算公式:
李雅普諾夫指數套用
利用李雅普諾夫指數λ,相空間內初始時刻的兩點距離將隨時間(疊代次數)作指數分離:
李雅普諾夫指數在一維映射中只有一個λ值,而在多位相空間情況下一般就有多個λ,而且沿著相空間的不同方向,λ值一般也不同。
設ε0為多維相空間中兩點的初始距離,經過n次疊代以後兩點間的距離為:
李雅普諾夫指數
李雅普諾夫指數式中指數λi可正可負,當其為正時表示沿該方向擴展,為負數時表示沿該方向收縮。在經過一段時間(數次疊代)以後,兩個不同李雅普諾夫指數將使相空間中原來的圓演變為橢圓。
李雅普諾夫指數穩定體系的相軌線相應於趨向某個平衡點,如果出現越來越遠離平衡點,則系統是不穩定的。系統只要有一個正值就會出現混沌運動。
判斷一個非線性系統是否存在混沌運動時,需要檢查它的李雅普諾夫指數λ是否為正值。
在高維相空間中大於零的李雅普諾夫指數可能不止一個,這樣體系的運動將更為複雜。人們稱高維相空間中有多個正值指數的混沌為超混沌。推廣到高維空間後,有指數(λ1,λ2,λ3,···)的值決定的各種類型的吸引子可以歸納為:
| (λ1,λ2,λ3,···) | 吸引子的類型 | 維數 |
| (-,-,-,···) | 不動點 | D=0 |
| (0,-,-,···) | 極限環 | D=1 |
| (0,0,-,-,···) | 二維環面 | D=2 |
| (0,0,0,-,···) | 三維環面 | D=3 |
| (+,0,-,-,···) | 奇怪吸引子(混沌) | D=2~3(非整數) |
| (+,+,0,-,···) | 超混沌 | D=高於3的非整數 |

