定義
李(Lie)微商,是在概念上與協變微商 完全不同的另一種微商(導數)。它是定義張量場在映射意義下的微商。
引入
作為引入李微商的準備,先要建立一個映射的概念。
李微商我們一直將形如 的關係式
李微商
李微商
李微商
李微商
李微商
李微商
李微商解釋為坐標變換.即 和 是空間同一點的新舊坐標. 式也可以被賦予一種完全不同的含義:在選定的一種坐標系下, 和 代表了兩個不同的點, 式給出空間中點與點的一種一一對應的關係, 這種關係叫做同一時空內的映射。
有了映射的表述,接下來開始考慮無窮小映射。無窮小映射是指對應點的坐標差是一個無窮小量。它的一般表示式為
李微商
李微商
李微商
李微商
李微商
李微商
李微商
李微商
李微商
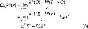
李微商這裡 是一個任意給定的矢量場, 是一個無窮小參量。 稱為無窮小映射生成的元,因為它完全決定了一個無窮小映射。然後讓我們考慮同一空間中的張量場在映射下的微商。為了方便起見,吧任意階的張量場 簡寫成 。設 和 是映射的對應點(它們是臨近點)。與映射相聯繫的微商概念是要把 與 作比較。 但是它們是不同點上的 張量 ,直接相減將失去 張量的性質。
李微商
李微商
李微商
李微商
李微商為此必須引入映射下的張量的移動(注意這種移動完全 有別於以前討論的平移),由它把 移至 點成為 ,同樣要求 是 點的張量。這樣才能定義張量場在映射意義下的微商。
推導
一般形式
由引入中的平移以及向量的概念,可以初步定義李微商是
李微商
李微商
李微商
李微商
李微商這樣一來,需要先把 的意義先確定下來。顯然, 式已經表明, 階張量的李微商仍是 階的張量。
李微商先看標量場 。我們 定義
李微商這樣就有
李微商
李微商
李微商
李微商
李微商
李微商
李微商再看逆變矢量場 。我們用直觀的辦法來引入 。過 點作一曲線 ,使它在 點的切矢量就是 。即
李微商
李微商
李微商
李微商
李微商
李微商
李微商
李微商
李微商
李微商這樣 好像是 “縮短了的”。曲線上截取兩點 和 ,使 ,即用它來代表 。映射把 (坐標為 )對應到 ,
李微商
李微商
李微商
李微商映射把 (坐標為 )對應到 ,
李微商
李微商
李微商
李微商這樣 作為 的映射,它就代表了 。
李微商
李微商
李微商應該是 “放大了的” ,它被定義為
李微商
李微商當 有了確切的含義,我們就可以算出 的 李微商:
李微商
李微商
李微商
李微商
李微商如果我們要求李微商也滿足和普通微商一樣的 乘法法則,那么就不必討論其他階張量在映射下的移動而直接算出他們的李微商。例如看協變矢量場 的李微商, 與任一 可構成標量場 。利用乘法法則,
李微商
李微商由標量的李微商公式 ,
李微商
李微商
李微商
李微商
李微商把它與 的李微商公式 一併代入 ,注意到 是任意矢量場,我們得到
李微商這就是協變矢量場的李微商公式。
高階形式
高階張量場的李微商公式可以用類似的方法來做。但我們不再推導,直接寫出三個二階張量的李微商公式:
李微商
李微商
李微商更高階的結論也是類似的。
套用
兩個特點
對李微商應注意到兩個特點:
1.它不僅取決於被微商的張量場,還取決於映射的生成元;
2.它不需要有聯絡(例如,克里斯多夫聯絡)。但是如果規定了聯絡,李微商也可以用協變微商來表示。
容易驗證,若把上面的張量場李微商公式右方的普通微商代換成協變微商,它們仍然是成立的,因為顯含聯絡的項會自動抵消。
套用舉例
李微商作為套用的例子,我們計算度規場的李微商。利用 ,並把其中的普通微商改為協變微商,得到:
李微商
李微商考慮到 的協變微商是零,它化為
李微商形式是簡潔的。

