簡介
本徵函式
本徵函式
本徵函式在數學中,函式空間上定義的線性運算元 的本徵函式(英語:Eigenfunction,又稱固有函式)就是對該空間中任意一個非零函式 進行變換仍然是函式 或者其標量倍數的函式。更加精確的描述就是
本徵函式
本徵函式
本徵函式
本徵函式
本徵函式
本徵函式
本徵函式
本徵函式其中 λ 是標量,它是對應的特徵值。另外特徵值微分的解受到 邊界條件的限制。當考慮限制條件的時候,只有特定的特徵值 ( )對應於 的解(每個 對應於一個特徵值 )。分析 的最有效的方法就是檢查其特徵向量是否存在。
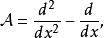
本徵函式例如, 是微分運算元
本徵函式
本徵函式
本徵函式
本徵函式
本徵函式
本徵函式的本徵函式,對於任意的 ,有對應的本徵值 。如果在這個系統上加上限制條件,如在空間中某兩個物理位置 ,那么只有特定的 才能滿足這個限制條件,這樣對應的離散本徵值為 .
特徵
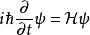
本徵函式在物理學的很多分支中都起著重要作用,其中一個重要的例子就是量子力學中的薛丁格方程
本徵函式的解的形式為
本徵函式
本徵函式
本徵函式
本徵函式
本徵函式
本徵函式
本徵函式其中 是特徵值為 的運算元 的本徵函式。只有特定的與本徵函式 相關的特徵值 滿足薛丁格方程這樣的事實引出了量子力學的自然基礎以及元素周期表,每個 定義了一個允許存在系統能量狀態。這個方程成功地解釋了氫原子的譜特性被認為是20世紀物理學的一項巨大成就。
本徵函式
本徵函式
本徵函式根據哈密頓運算元的特性,可以知道它的本徵函式是正交函式。但是對於其它運算元的本徵函式可能並不是這樣,如上面提及的。正交函式 ( )有以下特性
本徵函式
本徵函式
本徵函式其中,在這種情況下集合 是線性無關的。

