未來成長價值的計算公式
| 未來增長價值(FGV)=[[市值]]-當前營運價值(COV,currento perating value)=[[市場增加值]]-當前經濟增加值/資本成本率 |
FGV和COV的比值
FGV和COV(當前營運價值,currento perating value)的比值越大說明市場對未來EVA的增長預期越高。當公司期末創造的FGV 大於期初預期的FGV(下文將預期的FGV表示為FGV1)時,產生了超額FGV(下文將超額FGV表示為FGV2) 。這樣:
期末市場價值(MV)=期初經營價值(COV) +預期EVA增加值的折現值(FGV1)+公司超過預期的超額增加值(FGV2)。
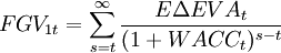
那么,t時期的未來增長之值的表達式為:
(2)
(1)E:預期
R:實際
EVA:經濟附加值
FGV2對公司價值點理解至關重要標準金融理論認為市場的定價偏差FGV2是暫時性的,從長期來講公司市場價值就等於其內在價值。但是,索羅斯有句名言:“市場總是錯的。”
基於公司價值的經濟利潤模式,我們將t時期的公司價值分解為以下幾部分:
(1)投入資本,即公司的賬面價值,用ICt − 1表示;
(2)資本創造值,即扣除投人資本的公司在未來存續期限內保持現有規模和盈利能力的經濟利潤的折現值,用SVAt表示;
(3) 內部經理人理性預期增長值,即內部經理人對公司未來成長性的合理估計的折現值,用FGV1t表示;
(4)公司外部投資者由於行為偏差對公司價值的估計偏差,是市場的泡沫成分,用FGV2t表示。
前三部分構成了公司的內在價值(IV,In trinsic Value),用IVT表示,即未來所有實際的EVA加上現有的投資資本,也即公司當前運營價值(COV)與預期EVA增加值(FGVI)部分之和,
IVt = COVt + FGV1t。
那么,t時期的公司市場價值等於各部分的和,即等於當前運營價值(即投人資本加上資本創造值,用COV表示)、內部經理人理性預期的增長值折現加上外部投資者的非理性判斷偏差。即t時期公司價值體系的構成如圖1所示,其市場價值的表達式如下:
MVt = IVt + FGV2t = ICt − 1 + SVAt + FGV1t + FGV2t
