定義
熱阻是傳熱學中的一個重要參數,是表示阻止熱量傳遞能力的綜合指標。在服裝工效學領域,利用熱阻來表示服裝及服裝材料的保暖性能。熱阻越大,保暖性能就越好。針對服裝或服裝材料而言,在單位時間內,通過服裝或服裝材料的傳導散熱量與服裝或服裝材料兩側的溫度差、傳導散熱面積成正比,而與服裝或服裝材料的厚度成反比,見式:
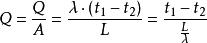
服裝熱阻式中:Q——通過服裝或服裝材料的傳導散熱量,W;
λ——服裝或服裝材料的導熱係數,W/(m ·℃);
A——傳導散熱面積,m²;
t,t——分別為服裝或服裝材料兩側的溫度,℃;
L——服裝或服裝材料的厚度,m。
實際套用中,傳導散熱量往往以單位時間、單位面積通過的熱流量形式表示,用g表示,則可以將上式變為:
服裝熱阻由上式可以看出,其與物理學中的歐姆定律完全相似,式中熱流量g相當於通過材料的電流,t-t相當於材料兩端的電壓,L/λ則相當於材料的電阻。因此,將妻定義為服裝或服裝材料的熱阻,用尺“表示,其單位是℃ ·㎡/W。熱阻決定了在服裝或服裝材料兩側具有一定溫度差的情況下,單位時間、單位面料通過的熱流量。服裝或服裝材料熱阻的計算見式:
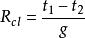
服裝熱阻式中:R——服裝或服裝材料的熱阻,℃ ·㎡/W;
g——通過服裝或服裝材料的導熱量,W/㎡;
t,t———分別為服裝或服裝材料兩側的溫度,℃。
影響因素
影響服裝熱阻的因素很多,以下內容將從服裝材料、服裝款式與結構、人體、環境條件四個方面加以介紹。
服裝材料
理論上,服裝主要是由織物加工成的,所以織物的導熱性能會對服裝的熱阻值有一定的影響。由於服裝款式的多樣性,服裝在人體之間存在大量空氣層,由於空氣層的作用,使得織物熱阻對服裝熱阻的影響非常小,兩者之間沒有明顯關係。
服裝款式與結構
即使由相同材料製成的服裝,由於服裝的款式、結構甚至穿著方法的不同,服裝的熱阻也會有很大的不同,有時這方面的影響要遠遠大於服裝材料本身。
1.服裝在人體的覆蓋率
服裝覆蓋人體表面積的大少對服裝的熱阻的影響很大。增加服裝的覆蓋率比在人體的同一部位增加服裝的厚度對減小人體的熱損失具有更大的作用。服裝在人體表面的覆蓋率越高,服裝的熱阻值越大。
2.服裝的寬鬆度
服裝內所包含的空氣層的厚薄直接影響服裝的熱阻,寬鬆服裝的保暖性要優於緊身的服裝。服裝的熱阻值隨服裝寬鬆度的增加而提高。但當服裝過於寬鬆時,服裝的散熱面料過大,服裝與人體之間的空氣也會產生對流,所以熱阻反而會有所降低。
3.服裝的開口
服裝有很多開口,如下擺、袖口、領口,甚至敞開的門襟。在人活動的情況下,服裝的開口會造成服裝的風箱效應,使服裝和人體之間以及各層服裝之間的空氣直接與環境進行熱交換,從而降低了服裝的熱阻值。服裝開口度與服裝熱阻之間存在一定的相關性。
4.服裝的層數在總厚度相同的情況下,穿著多件服裝比穿著單件厚的服裝具有更大的熱阻值。這是因為穿著多件服裝,各層服裝之問包含大量靜止空氣。但如果層數過多,各層服裝之間會有壓縮,而且當服裝比較寬鬆時會增加散熱的面積,從而降低了服裝整體的保暖性。
人體
服裝熱阻值是用處於靜止狀態的暖體假人測量的,數據穩定,可重複性好。但當人穿著服裝,尤其是從事某些活動時,服裝所提供的保溫性則會發生變化。人體對服裝熱阻的影響主要有以下三個方面。
1.人體活動實際上,人體的活動狀態對服裝熱阻的影響與風的影響類似。因為人在從事體育活動或勞動時,身體與周圍的空氣之間會產生相對風速。例如,人在步行或跑步時,即使沒有自然風,人也會感覺有風迎面吹過。同時,由於人體活動,衣內空氣的風箱效應,加強了對流散熱,從而使服裝的熱阻值明顯下降。
2.人體出汗人體活動時容易出汗,汗水被服裝吸收。服裝材料的熱阻隨材料的含水量的增加而降低,另外,由於潤濕的服裝很容易與皮膚黏貼以及相互黏貼,使人體與服裝之間以及服裝各層之間的空氣層減少,從而導致服裝的熱阻值降低。
3.人體姿態人體在不同姿態下,服裝內環境的空氣層以及服裝外表面的邊界層空氣都會發生變化。而且人體在某些姿態下,會與環境物體發生直接的接觸,如床、椅子、牆壁等,從而使人體的散熱量增加。具有關資料介紹,採用坐姿測量服裝熱阻值會比採用站姿測量結果低15%左右。
環境條件
服裝內及服裝材料內包含大量的空氣,它會受到環境條件的變化的直接影響。環境條件對服裝熱阻的影響主要有以下三個方面。
1.氣溫
環境氣溫對空氣的密度有一定的影響。例如,在20℃條件下,空氣的密度為1.205kg/m³。當溫度下降到-20℃時,空氣的密度增加到1.369kg/m³,導熱性能增加了。所以,不同的溫度條件下測量面料及服裝的熱阻值會有差異,環境溫度越低,測得的熱阻值也就越低。
2.濕度
服裝中含有兩種水分,一種是由於紡織材料的吸濕性而從周圍環境吸收水蒸氣,即吸濕水;另一種則是存在於纖維與纖維之間的液態水,即自由水。人體穿著服裝,吸濕水是經常存在的,並且吸濕水對於以吸濕性好的纖維為主體的服裝材料的熱阻值有積極的影響。自由水一般在服裝被汗水浸濕或環境濕度很高的情況下才存在,自由水會降低服裝內環境及服裝材料的含氣量,使服裝的熱阻值大大降低。
3.風速
環境風速對服裝熱阻的影響顯著。當環境風速增加時,人和服裝表面的空氣層被擾亂了,使邊界層空氣變薄。此外,由於面料的透氣性及服裝的開口,加強了服裝內環境與外界環境的空氣對流,導致熱阻值降低。
測量方法
利用平板式保溫儀測量構成服裝的每一層面料的熱阻,並不能代表實際服裝的熱阻。因為服裝不是勻均覆蓋人體,人體穿著服裝後,服裝與人體之間往往會有空氣層。當人穿著多件服裝時,服裝與服裝之間也會重疊壓縮。所以在絕大多數情況下面料的熱阻都要遠遠小於用其所加工成的一整套服裝(如上衣和長褲)的熱阻。所以,為了精確合理地評價服裝的保暖性,必須測量服裝的熱阻值。測量服裝的熱阻值需要使用與人體尺寸相當的暖體假人。
暖體假人測量的原理是將假人置於某一環境中,以一定的功率加熱假人,並通過控制系統使假人表面的平均溫度穩定在33℃,根據假人表面的平均溫度與環境溫度的差以及保持假人表面溫度恆定所需要的加熱功率來計算服裝的熱阻值。
由於服裝熱阻受到很多因素的影響,為了便於研究,服裝熱阻的測量通常是在人工氣候室進行,對於測量服裝樣品的準備、環境條件等均有嚴格的要求。
如果每件服裝都是均勻覆蓋人體表面,那么人體所穿服裝的總熱阻就應該近似等於各件服裝熱阻值的總和。由於款式的多樣性,服裝部分相互重疊、壓縮,服裝在人體表面分布很不均勻,所以,穿著多件服裝時的總熱阻要小於各單件服裝的熱阻值的總和。美國供暖與製冷空調工程師學會(ASHRAE)推薦用下列公式計算多件服裝的總熱阻:
服裝熱阻式中:R——多件服裝的總熱阻值,clo。
R——單件服裝的熱阻值,clo。
當服裝熱阻單位採用℃ ·㎡/W時,上式變為下式:
服裝熱阻式中:R——多件服裝的總熱阻值,℃ ·㎡/W;
R——單件服裝的熱阻值,℃ ·㎡/W。

