基本介紹
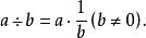
有理數除法是有理數乘法的不完全逆運算,是已知兩個有理數的積與一個乘數,求另一個乘數的運算。兩個有理數a與b(b≠0)相除,記為a÷b或a/b,a稱為被除數,b稱為除數,“÷”稱為除號,相除所得的結果稱為商。換言之,若x·b=a,b≠0,則x稱為a除以b的商,記為x=a÷b=a/b。定義除法時,零不能作除數。在有理數域中,有理數除法可用乘法定義:a÷b=a×b ,其中b≠0,b 是b的乘法逆元素,即b的倒數 。
有理數除法是已知積和一個乘數,求另一一個乘數的運算,就是從bx=a(b≠0)中求出x的運算。
有理數除法法則
有理數除法法則1
除以一個不為0的數,等於乘這個數的倒數。即:
有理數除法
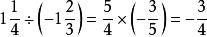
有理數除法在不能整除的情況下常運用法則1簡便些,如。
有理數除法法則2
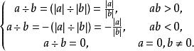
有理數除法兩數相除,同號得正,異號得負,並把絕對值相除。0除以任何一個不為0的數,都得0。即 在能整除的情況下運用法則2簡便些。它包括商的符號法則和商的絕對值法則兩部分 。
分數的符號法則
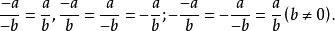
(1)分數的符號法則:分數的分子、分母與分數線前面的符號,改變其中任意兩個的符號,分數的
值不變。用公式表示:
有理數除法(2)利用分數的符號法則化簡分數規律:在分子、分母及分數線前的符號中,如果“﹣”號的個數是奇數,則分數的值為負,如果“﹣”號的個數是偶數,分數的值為正 。
有理數乘除法的混合運算
有理數的除法可以化為乘法,所以有理數的乘除混合運算可以統一成乘法運算,其步驟為:
(1)將所有除數轉化為其倒數,所有除法轉化為乘法;
(2)確定積的符號;
(3)運用乘法運算律簡化運算,並求出最後結果。
有理數的加、減乘除的混合運算
有理數的加減乘除混合運算,如無括弧,則接“先乘除,後加減”的順序進行,如果有括弧,先算括弧裡面的,在同一級運算中,要按從左到右的順序來計算,並能合理運用運算律簡化運算。
加減、乘除分別稱同一級計算 。

