基本介紹
有理整式是一種代數式(函式),其中未知數不出現在根號或分母中,即不含根號的整式。它既是整式,又是有理式;它包括單項式與多項式。
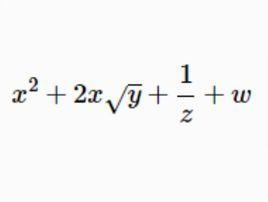
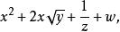
一個代數式,可以關於其中一些未知數為有理整式,而對另一些未知數則不是。例如,
有理整式它關於x、關於w、或者關於x與w是有理整式,但關於y不是有理式,而關於z不是整式。
有理整式習慣上簡稱為整式,它可以由未知數經有限次加、減、乘(包括乘方)得到 。
單項式
單項式是一種簡單的代數式.對變數字母僅限於乘法(乘方)運算或沒有變數字母的代數式稱為單項式。例如ab,(m+n)x(m,n是常數),x都是單項式。其中(m+n)x,雖然m+n是加法運算,但m,n是常數,對變數x仍僅限於乘法運算,因而它是單項式。在單項式中,數因子或數與非變數字母所構成的因子稱為這個單項式的係數,為明確起見,一般把一個單項式稱為關於變數字母的單項式,若一個給定單項式沒有指明是關於哪些字母的單項式,則認為式中出現的所有字母都是變數字母,變數字母稱為單項式的元,當係數不為零時,單項式中任一元的次數稱為單項式關於這個元的次數,單項式中所有元的次數的和稱為這個單項式的次數,例如,關於x,y的單項式2ax²y³(a≠0)的次數為5,單獨一個非零常數稱為零次單項式.數0也看做單項式,稱為零單項式。當單項式的係數是在指定數系P(如整數系,實數系等)取值時,這樣的單項式稱為數系P上的單項式 。
多項式
幾個單項式的和叫多項式。多項式有時稱為有理整式或整式 。
有理整式
有理整式在多項式中,每個單項式叫做多項式的項。如是四項式,它的第二項是-b,第四項是。
注意:多項式中各項要帶它的符號。
多項式里,次數最高的項的次數是這個多項式的次數。
多項式里不含字母的項叫做常數項。
一個多項式的全稱是幾次幾項式。如上例是三次四項式。
按某一個字母的指數從大到小的順序來排列的多項式叫做按這個字母的降冪排列;按某個字母的指數從小到大的順序來排列的多項式叫做按這個字母的升冪排列。
例 把3x y-y +5xy -x 按x的降冪排列是-x +3x y+5xy -y 。
例 把a +2ba +b +c -ba+2a c+2ac按a的升冪排列。
解 原式= (b²+c²)-(b-2c)a+2(b+c)a²+a³
說明:不含某一字母的項,相當於常數項,按同一字母的次數整理它的文字係數,再進行排列 。

