定義
ERP,EffectiveRadiatedPower,有效輻射功率,無線通信名詞,單位為瓦(watt)。有效輻射功率 (effective radiated power )。無線電發射機供給天線的功率和在給定方向上該天線相對於半波偶極振子的增益的乘積。
ERP=讀寫器功率×天線增益;功率不是一概而論的,有ERP。EIRP 、天線輸出口平均功率、峰值功率等等;讀卡器的功率是不變的,但是天線增益高可以提高場強密度,提高輻射距離。實際上用有效發射功率ERP代替EIRP來表示同半波耦極子天線相比的最大發射功率。
註:耦極子天線具有1.64的增益(2.15dB),因此,ERP比EIRP低2.15dB
基本概念
C頻段EPIR分布圖EIRP:等效全向輻射功率(Effective Isotropic Radiated Power) ,為無線電發射機供給天線的功率與在給定方向上天線絕對增益的乘積。各方向具有相同單位增益的理想全向天線,通常作為無線通信系統的參考天線。EIRP定義為:
有效輻射功率它表示同全向天線相比,可由發射機獲得的在最大天線增益方向上的 發射功率。Pt表示發射機的發射功率,Gt表示發射天線的天線增益。在無線通信工程中,通常用來衡量干擾的強度,以及發射機發射強信號的能力。
dBm:是一個考徵功率絕對值的值,計算公式為:10lgP(功率值/1mw),例如如果發射功率P為1mw,折算為dBm後為0dBm。
dBi 和dBd :dBi和dBd是考徵增益的值(功率增益),兩者都是一個相對值, 但參考基準不一樣。dBi的參考基準為全方向性天線,dBd的參考基準為偶極子,所以兩者略有不同。一般認為,表示同一個增益,用dBi表示出來比用dBd表示出來要大2. 15。對於一面增益為16dBd的天線,其增益折算成單位為dBi時,則為18.15dBi(一般忽略小數位,為18dBi)。0dBd=2.15dBi。 GSM900天線增益可以為13dBd(15dBi),GSM1800天線增益可以為15dBd(17dBi)。
測試方法
有效輻射功率主要有三種測試方法:直接計算法、理想場地換算法、替代法。三種方法各有利弊,適用情況也有區別。
直接計算法
根據 ERP 或 EIRP 的定義,用天線連線埠的直量功率加上天線增益,再減去電纜損耗(用 dB 表示時):
有效輻射功率其中,P:表示天線連線埠的直量功率;G:表示天線增益;L:表示電纜損耗。
理想場地換算法
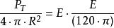
首先測試場強 E,然後按以下公式將場強換算成 ERP 或EIRP:
有效輻射功率其中P即發射功率,即包含天線增益和電纜損耗的 ERP或 EIRP。將上述公式用 dB 表示:
有效輻射功率
有效輻射功率當測試距離 R=3m 時:
替代法
替代法測試原理圖
有效輻射功率分兩步:首先,被測產品(Transmitter under test)放置在測試桌上,分別測試水平極化和垂直極化方向的電平。假設測試頻率為 f,測試過程中需要旋轉測試桌,升降接收天線,以便找到最大發
射位置。記錄頻譜儀的讀數 V;第二步,將被測產品換成信號發生器和替代天線。關於替代天線的要求,頻率 1GHz 以下,採用半波偶極子天線。1G 以上頻率是,採用喇叭天線。半波偶極子天線實際使用中,天線長度略小於諧振頻率波長的一半,約為 0.48 倍。當頻率小於 80MHz 時,半波偶極子天線的長度過長,無法進行垂直極化的測試,同時天線長度與測試距離(比如 3m)很接近,會帶來較大的誤差。所以,實際測試中,對於 80MHz 以下的頻率,採用縮短的偶極子天線,即都用 80MHz 時的半波偶極子,長度為 1.785m。當採用縮短的偶極子天線時,天線增益就不再0dBi,需要進行修正。測試過程中,先旋轉測試桌,升降接收天線,以便找到最大發射位置。然後固定測試桌的角度和接收天線的高度,調節信號發生器的輸出幅度,直到頻譜儀的讀數與第一步的讀數 V一致。記錄此時的信號發生器的輸出讀數 P,單位一般用 dBm。用以下公式(用 dB 表示)來計算有效輻射功率:其中,G為替代天線的天線增益,L為從信號發生器到替代天線的電纜的插入損耗。
三種測試的比較及適用情況
直接計算法是按照有效輻射功率的定義來進行計算的,測試準確度和可重複性高,適用於所有的情況。需要注意其準確度受到的天線增益準確度的影響;理想場地換算法是假設測試場地是理想的自由空間,測試的是電場強度,然後換算成自由空間下的等效有效輻射功率。因為實際測試場地與理想自由空間總是存在一定的差異,適用於快速估算,測試結果某些測試標準可以接受;替代法,適用於絕大多數情況。測試準確度和可重複性較高。需要注意的是,採用替代法的時候,要注意替代天線和連線電纜的特徵阻抗的匹配性。

