概述
最大似然估計是一種統計方法,它用來求一個樣本集的相關機率密度函式的參數。這個方法最早是遺傳學家以及統計學家羅納德·費雪爵士在1912年至1922年間開始使用的。
“似然”是對likelihood 的一種較為貼近文言文的翻譯,“似然”用現代的中文來說即“可能性”。故而,若稱之為“最大可能性估計”則更加通俗易懂。
最大似然法明確地使用機率模型,其目標是尋找能夠以較高機率產生觀察數據的系統發生樹。最大似然法是一類完全基於統計的系統發生樹重建方法的代表。該方法在每組序列比對中考慮了每個核苷酸替換的機率。
例如,轉換出現的機率大約是顛換的三倍。在一個三條序列的比對中,如果發現其中有一列為一個C,一個T和一個G,我們有理由認為,C和T所在的序列之間的關係很有可能更接近。由於被研究序列的共同祖先序列是未知的,機率的計算變得複雜;又由於可能在一個位點或多個位點發生多次替換,並且不是所有的位點都是相互獨立,機率計算的複雜度進一步加大。儘管如此,還是能用客觀標準來計算每個位點的機率,計算表示序列關係的每棵可能的樹的機率。然後,根據定義,機率總和最大的那棵樹最有可能是反映真實情況的系統發生樹。
原理
給定一個機率分布D,假定其機率密度函式(連續分布)或機率聚集函式(離散分布)為 f,以及一個分布參數θ,我們可以從這個分布中抽出一個具有 n個值的採樣X,X,...,X,通過利用 f,我們就能計算出其機率:
最大似然估計但是,我們可能不知道θ的值,儘管我們知道這些採樣數據來自於分布D。那么我們如何才能估計出θ呢?一個自然的想法是從這個分布中抽出一個具有 n個值的採樣X,X,...,X,然後用這些採樣數據來估計θ。
一旦我們獲得,我們就能從中找到一個關於θ的估計。最大似然估計會尋找關於 θ的最可能的值(即,在所有可能的θ取值中,尋找一個值使這個採樣的“可能性”最大化)。這種方法正好同一些其他的估計方法不同,如θ的非偏估計,非偏估計未必會輸出一個最可能的值,而是會輸出一個既不高估也不低估的θ值。
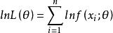
要在數學上實現最大似然估計法,我們首先要定義可能性:
最大似然估計並且在θ的所有取值上,使這個函式最大化。這個使可能性最大的值即被稱為θ的 最大似然估計。
性質
泛函不變性(Functional invariance)
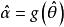
最大似然估計
最大似然估計如果 是 θ的一個最大似然估計,那么α =g(θ)的最大似然估計是 。函式g無需是一個——映射。
漸近線行為
最大似然估計函式在採樣樣本總數趨於無窮的時候達到最小方差(其證明可見於Cramer-Rao lower bound)。當最大似然估計非偏時,等價的,在極限的情況下我們可以稱其有最小的均方差。對於獨立的觀察來說,最大似然估計函式經常趨於常態分配。
偏差
最大似然估計的非偏估計偏差是非常重要的。考慮這樣一個例子,標有1到n的n張票放在一個盒子中。從盒子中隨機抽取票。如果n是未知的話,那么n的最大似然估計值就是抽出的票上標有的n,儘管其期望值的只有(n + 1) / 2。 為了估計出最高的n值,我們能確定的只能是n值不小於抽出來的票上的值。
最大似然估計的一般求解步驟
基於對似然函式L(θ)形式(一般為連乘式且各因式>0)的考慮,求θ的最大似然估計的一般步驟如下:
(1)寫出似然函式
總體X為離散型時:
最大似然估計總體X為連續型時:
最大似然估計(2)對似然函式兩邊取對數有
總體X為離散型時:
最大似然估計總體X為連續型時:
最大似然估計
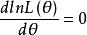
最大似然估計(3)對 求導數並令之為0:
最大似然估計此方程為對數似然方程。解對數似然方程所得,即為未知參數 的最大似然估計值。
例題
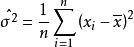
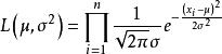
設總體X~N(μ,σ ),μ,σ為未知參數,X1,X2...,Xn是來自總體X的樣本,X1,X2...,Xn是對應的樣本值,求μ與σ 的最大似然估計值。
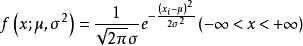
解:X的機率密度為
最大似然估計可得似然函式如下:
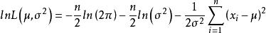
最大似然估計取對數,得
最大似然估計令
最大似然估計
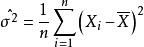
最大似然估計解得
最大似然估計
最大似然估計故μ和σ的最大似然估計量分別為
最大似然估計
最大似然估計