概念
一個最優決策應具有這樣的性質,不管初始狀態和初始決策如何,剩下的決策(整個最優決策中的一部分)對於從這一級開始的後續多級過程,仍然是一個最優決策。套用最優性原理,可以把多級決策問題的求解過程看作是一個連續遞推過程,由後向前逐級推算。在求解過程中,前一級的決策和輸出狀態只是後一級的初始條件(初始狀態),並不影響後續子過程的最優決策。
基本原理
最優性原理設維離散系統為
最優性原理
最優性原理要求確定最優控制,使性能指標
最優性原理
最優性原理
最優性原理
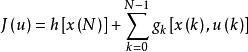
最優性原理最小。式中,是固定的;不受限制(或)。
最優性原理
最優性原理記為達到終端狀態的末級性能指標,即有
最優性原理
最優性原理當時,得到
最優性原理
最優性原理
最優性原理
最優性原理
最優性原理
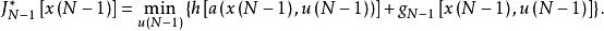
最優性原理由於控制變數對當前狀態無作用,只能改變後續狀態變數的值,而且控制變數必然是當前狀態的函式,記最優控制得到的性能指標為
最優性原理採用同樣的方法,得到遞推公式
最優性原理
最優性原理
最優性原理
最優性原理
最優性原理
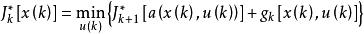
最優性原理上式稱為貝爾曼遞推方程,它是動態規劃的基本遞推關係式。由已知的級過程的最優性能指標,根據遞推公式確定最優控制,就可得到級過程的最優性能指標。動態規劃的尋優算法是從末級過程開始的,然後,根據式子逐級倒推,最終得到多級過程的最優決策和最優性能指標。遞推公式明確指出,每一步倒推時,並不是孤立地考慮當前級的過程,而是從該級到最後一級所有過程的整體的最優決策,使“整體”的性能指標最優。
最優性原理
最優性原理
最優性原理
最優性原理
最優性原理
最優性原理
最優性原理
最優性原理
最優性原理
最優性原理動態規劃的遞推公式再一次重申了一個重要概念——嵌入原理原理,就是說,既然表示初始狀態為的一個級過程中,從第級開始的最後級過程的最優性能指標,又表示初始狀態為的級的最優性能指標。嵌入原理的內容是,當時,一個級過程的最優決策和最優性能指標是被嵌入在一個級過程的最優決策過程之中的。

