定義
平面曲線
在數學上,一條曲線的定義為:
設I為一實數區間,即實數集的非空子集,那么曲線c就是一個連續函式c:I→X的映像,其中X為一個拓撲空間。
曲線[Photoshop工具、微分幾何學]我們常遇到的平面曲線的拓撲空間為 。
曲線方程
曲線[Photoshop工具、微分幾何學]一般來說,當在 下一些符合一條方程的點的集合組成一條曲線時,那方程就叫那曲線的曲線方程。
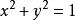
曲線[Photoshop工具、微分幾何學]例如, 是單位圓的曲線方程,因為有且僅有單位圓上的點符合這條方程;因這些點組成一個單位圓,故該方程正代表著平面上的單位圓。
曲線的長度
平面曲線
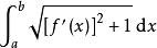
曲線[Photoshop工具、微分幾何學]若一條平面曲線可表達成標準方程 ,那么它的長度就是:
曲線[Photoshop工具、微分幾何學]其中a、b為x的上下限。
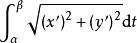
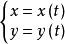
曲線[Photoshop工具、微分幾何學]若平面曲線可表達成參數方程 ,那么它的長度就是:
曲線[Photoshop工具、微分幾何學]
曲線[Photoshop工具、微分幾何學]
曲線[Photoshop工具、微分幾何學]
曲線[Photoshop工具、微分幾何學]其中 、 為 的上下限。
套用
曲線不是濾鏡,它是在忠於原圖的基礎上對圖像做一些調整,而不像濾鏡可以創造出無中生有的效果。
曲線不是那么難以捉摸的,只要掌握了一些基本知識,你可以像掌握其他工具那樣很快掌握曲線工具。
Photoshop給你的真正樂趣之一,是軟體提供給你很多種解決難題的方案。就調整圖像來說,在圖像>調整選單里有很多可以選擇的工具,僅曲線工具你就可以:
調節全體或是單獨通道的對比;
調節任意局部的亮度;
調節顏色。
曲線可以精確的調整圖像,賦予那些原本應當報廢的圖片新的生命力!
曲線調節功能對每一個和圖像打交道的人都很重要,所以即使你不使用Photoshop,你也可以從中得到不少有用的幫助。
曲線原理
用最簡單的話來說:拉RGB曲線是改變亮度,拉CMYK曲線是改變油墨。
下面說得詳細些,新手可能需要這方面的知識。
(1)RGB曲線
曲線[Photoshop工具、微分幾何學]它的橫坐標是原來的亮度,縱坐標是調整後的亮度。在未作調整時,曲線是直線形的,而且是45°的,曲線上任何一點的橫坐標和縱坐標都相等,這意味著調整前的亮度和調整後的亮度一樣,當然 也就是沒有調整。
如果你把曲線上的一點往上拉,它的縱坐標就大於橫坐標了,這就是說,調整後的亮度大於調整前的亮度,也就是說,亮度增加了。
“曲線”對話框還顯示你所調整的點的“輸入”、“輸出”值,它們實際上就是橫坐標和縱坐標。上圖“輸入”(即橫坐標,調整前的亮度)是127,“輸出”(即縱坐標,調整後的亮度)是154,意味著把亮度由127提高到154。亮度的取值範圍是0~255,由於曲線的連續性,不僅這個點升高了,它左邊的點(原來亮度為0~127)和右邊的點(原來亮度為127~255)也升高了,這就是說整個畫面的亮度都提高了。
曲線下面有兩個滑塊,在你忘記曲線的明暗方向時提醒你。黑滑塊在左邊,白滑塊在右邊,表示左邊暗,右邊亮。
曲線的左端點代表黑場,假如你把這個點提高,頭髮、眼珠等黑顏色就會變亮;你把這個點向右拉(現在無法再把它降低),陰影會變得更黑,甚至發焦,但當畫面黑場不足時,用這個辦法可以加深黑場。
曲線的右端點代表白場,假如你把這個點降低,高光就會變暗,鼻尖、眉弓等處的反光就會變成灰色,這一般是不採用的;假如你把這個點向左拉(它已經無法再升高),接近高光的亮顏色就會變成高光,當畫面亮調灰暗無力時,這是一個辦法。
可以調節的是4條曲線:RGB(總亮度)、R(紅)、G(綠)、B(藍)。當調節總亮度不能如願時,你就要調節三原色。要知道RGB圖像的顏色是由紅、綠、藍三原色組成的,還要知道改變每種原色的亮度對總的顏色有什麼影響。這很容易,隨便打開一幅RGB圖,隨便調節三原色曲線,你就會明白它們的作用。在有了足夠的調色經歷後,你要具備這樣的條件反射:看到任何顏色,都能想像它的三原色組成,比如紅潤明亮的膚色是由很亮的紅、較亮的綠和很暗的藍組成的。
(2)CMYK曲線
它的橫坐標是原來的油墨量,縱坐標是調整後的油墨量,取值範圍是0~100。
“油墨量”是個籠統的說法,確切地說,它是網點面積覆蓋率,是單位面積的紙被油墨覆蓋的百分比。比如青的網點面積覆蓋率是70%,意味著在1平方毫米的紙上,有0.7平方毫米被青墨覆蓋。油墨覆蓋得越多,顏色越深,因此70%的青墨比50%的青墨深,0%完全是白紙(印刷上叫“空白”),100%完全是墨(印刷上叫“實地”)。**墨也是這樣。
通常的印刷使用4種油墨——青、洋紅、黃和黑,前面3種是顏料三原色,畫過畫的人都知道它們可以組成豐富的色相,黑是用來增加明暗層次的。因此,在CMYK“曲線”對話框中有5種曲線可調節——CMYK(總墨量)、C(青墨量)、M(洋紅墨量)、Y(黃墨量)和K(黑墨量)。
請打開任何一張CMYK圖片,調節這些曲線,你立刻會明白每種油墨的增減對畫面有什麼影響。
對於CMYK要形成這樣的條件反射:看到任何顏色都能想像它的四色組成。比如明亮紅潤的膚色是由較多的洋紅、較少的黃、很少或空白的青和黑組成的。照相製版時代的分色工比我們更強,他對CMYK值的想像能精確到5%。把這樣一位老人從印刷廠退休職工麻將室拉出來,讓他對我們的圖1-2a說點什麼,他會說亮調的黃居然上了20,太多了。而我們要做的,就是把曲線往下拉。
