簡介
1921年W.G.凱地將晶體諧振器用於各種調諧電路 ,形成了晶體濾波器的雛形。1927年L.艾斯本希德把晶體諧振器用於真正的濾波電路 。1931年W.P.梅森又把它用於格型濾波器。60年代中期,集成式晶體濾波器研製成功,晶體濾波器在小型化方面有了很大發展。石英晶體諧振器是最常用的晶體諧振器之一,它在濾波器中主要用作窄帶通濾波器。鉭酸鋰或鈮酸鋰晶體諧振器的耦合係數和頻率常數較大,適用於製做高頻寬頻通濾波器。其他壓電材料因溫度穩定性較差,很少採用。
革新
圖1a
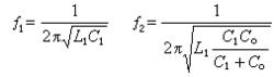
比值公式石英晶體諧振器是最常用的晶體諧振器之一,它在濾波器中主要用作窄帶通濾波器。鉭酸鋰或鈮酸鋰晶體諧振器的耦合係數和頻率常數較大,適於製做高頻寬頻通濾波器。其他壓電材料因溫度穩定性較差,很少採用。(見壓電器件)。 當作用於晶體諧振器的電信號頻率等於晶體的固有頻率時,電能通過晶體的逆壓電效應在晶體中引起機械諧振產生機械能;在輸出端,正壓電效應又將這種機械能轉換為電信號。晶體諧振器及其等效電路和阻抗特性如圖1。其中, L1、 C1和 R1分別代表晶體諧振器的動態電感、動態電容和動態電阻; C0為晶體支架和電極間的靜態電容。 R1通常很小,可忽略不計。這樣,圖1a的等效電路可視為純電抗二端網路。諧振器的串聯、並聯諧振頻率 f1、 f2以及比值 f2/ f1分別為
相關公式比值 f2/ f1隨比值 C1/ C0而異。這個特性可以用來調節晶體濾波器的通頻帶。例如,諧振器外接一個串聯電容器,等效於 C1減小、 f1升高;而外接一個並聯電容器,則等效於 C0增大、 f2降低。兩者均可縮小 f1與 f2之間的間隔,即縮窄通頻帶。如果串接或並接電感器,則將增大頻率間隔,展寬通頻帶。
因晶片不能做得很薄,石英晶體諧振器的基波頻率只能達到30~35兆赫。工作頻率較高的諧振器大多工作於泛音(高於基頻近奇次倍的振動),但泛音次數越高,串、並聯諧振頻率的間隔越小。
70年代發展起來的離子刻蝕技術能使晶體諧振器的基波頻率接近 500兆赫。但由於外接元件,特別是線圈問題,其泛音頻率也只能做到 600兆赫,相對頻寬約為0.01%~1%。
分類
分立式晶體濾波器
圖2a
圖3由分立式晶體諧振器和分立式電子元件構成的濾波器。圖2a的差接橋型晶體濾波器是其一種。在濾波性能上它和格型濾波器等效,但所用的晶體諧振器數目可減少一半。其阻抗特性及衰減特性如圖2b 和c。在f1至f3之間,z1和z2的符號相反,又由於變壓器次級兩端電壓的極性相反,兩臂中的電流同號相加,所以f1至f3間為濾波器的通頻帶。同理,當ff3時,z1和z2同號,兩臂電流異號相減;所以f1~f3兩側以外的區域為阻帶。z1=z2時,輸出為零。分立式晶體濾波器可實現的中心頻率為10千赫到350兆赫,相對頻寬為0.01%~10%。
集成式晶體濾波器
採用積體電路工藝製作的晶體濾波器,有單片的、串聯單片的和多片的三種類型。
圖4單片晶體濾波器 由鍍在AT切(見石英晶體)石英片上若干對電極形成的耦合諧振器組成。圖3為其中最簡單的四電極單片晶體濾波器電路結構及其等效電路。輸入諧振器隨所加信號電壓而產生厚度切變振動,晶片因受電極質量負荷的影響,電極區的諧振頻率比非電極區的低,使彈性波在兩區邊界發生反射,從而使絕大部分能量陷落在電極區內,少量泄漏的能量則耦合到與之相鄰的諧振器。這樣依次相傳到輸出諧振器,再變為電信號。適當地設計電極尺寸、諧振器間距和頻率鍍回率,就可以控制彈性波在晶片中的傳播,從而實現濾波功能。
串聯單片晶體濾波器 由若干用電容耦合的單片晶體濾波器組成(圖4)。其優點是利於調整工作頻率和抑制寄生頻率。
多片晶體濾波器 由串聯的耦合諧振器、並聯的單諧振器和電容器組成(圖5)。其特點是能在靠近通頻帶的頻率上形成若干衰減峰,有利於抑制干擾和改善濾波性能。
圖5集成式晶體濾波器體積小、可靠性高而且造價低。但其中心頻率只有4.5~350兆赫,相對頻寬為0.01%~0.3%,所以在要求中心頻率低、通頻頻寬的場合尚不能取代分立式晶體濾波器。
單片晶體濾波器
採用集成工藝在壓電基片上鍍上若干對電極,如圖6(a)所示。每對電極構成一個諧振元件,基片兩端的電極還兼有機電換能功能,極間部分起耦合元件的作用,其等效電路如圖6(b),這是一個帶通濾波器。
單片晶體濾波器採用集成工藝,有體積小、穩定性高、成本低等優點;通常做成帶通,主要採用石英晶體作基片,工作頻段在5~200MHz,相對頻寬約為0.01%~0.3%。由於其工作原理和機械濾波器相同,也稱作單片機械濾波器,這種濾波器也可用多塊單片組成,以降低工藝要求。
圖6
