景氣綜合指數的計算步驟
第一步:剔除季節因素和不規則因素,求出標準化對稱變化率。
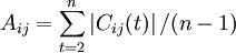
設指標Yij(t) 為第j指標組的第i個指標,j=1,2,3分別代表先行、同步、滯後指標組,i=1,2,…,kj 是組內指標的序號,kj 是第j指標組的指標個數。則對稱變化率Cij(t) 為:
Cij(t) = (Yij(t) − Yij(t − 1)) / (Yij(t) + Yij(t − 1)) * 200 t=2,3....n
當Yij(t) 中有零或負值時或者是比率序列時
Cij(t) = Yij(t) − Yij(t − 1)
景氣綜合指數 標準化對稱變化率S_{ij}(t)為:
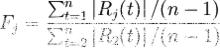
第二步:求出先行、同步、滯後三組指標的組內、組間平均變化率,使得三類指數可比。
景氣綜合指數 ①求出先行、同步、滯後指標組的平均變化率Rj(t)
景氣綜合指數 ②計算指數標準化因子Fj
景氣綜合指數 ③計算標準化平均變化率Vj (t)
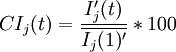
第三步:以某年為基期,計算其餘年各月(季)的合成指數。
①求初始合成指數
令Ij(1) = 100
Ij(t) = Ij(t − 1) * (200 + Vj(t)) / (200 − Vj(t))
②趨勢調整
景氣綜合指數 對同步指標組的每個序列分別求出各自的平均增長率Gr
景氣綜合指數
景氣綜合指數
景氣綜合指數
景氣綜合指數 其中:
景氣綜合指數 分別求出先行、同步、滯後指標的平均增長率
景氣綜合指數 對三個指標組的標準化平均變化率Vj(t) 做趨勢調整
景氣綜合指數
景氣綜合指數 ③求合成指數
景氣綜合指數
景氣綜合指數 以基準年份為100的合成指數為
景氣綜合指數分析
根據合成指數曲線圖顯示的信號,可以觀察經濟運行的動態,並進行預測和預警。
景氣綜合指數不僅顯示各指標的波動狀態,而且將它們的波動程度加以綜合。它除了能預示市場經濟波動的轉折點外,還能在某種意義上反映經濟循環變動的強弱。
景氣綜合指數的缺陷:
在景氣轉折點的判斷方面無法顯示經濟各部門之間的經濟波及、滲透程度。
因此,用擴散指數分析經濟波動轉折點的判斷等質的方面的問題;而用合成指數分析與過去比較、經濟變動程度的大小及速度等量的方面的問題。
