簡介
氣、液相的計算一般可以用SRK、PR、BWR和MH-81等狀態方程,雖然立方型狀態方程能夠定性地描述液態的p-V-T性質,但卻不能進行精確的定量計算;BWR方程可以用於液體,但是計算太複雜而且必須確定所有流體的8個常數,除狀態方程外,工程上常常採用經驗關聯式和普遍聯繫化關係式等方法來估算。
普遍化關聯式是由Lyderson等提出的一個基於對應態原理的估算液體體積的普遍化方法,如同兩參數的氣體壓縮因子法一樣,它可用於任何液體。
普遍化關聯式
液體的對比密度
液體對比密度的定義為:
普遍化關聯
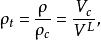
普遍化關聯其中, 是臨界點的密度和體積。
液體的普遍化密度
普遍化關聯液體的普遍化密度關係是以對比密度作為溫度和對比壓力的函式(如下圖所示),若已知臨界體積,就可直接確定液體體積 。
普遍化關聯一般情況下, 不易查到,從液體的對比密度定義式可以得到:
普遍化關聯
普遍化關聯
普遍化關聯
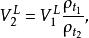
普遍化關聯其中: 是待求的液體體積; 是已知的液體體積; 分別為狀態1和狀態2從液體的普遍密度關係圖中查得的對比密度。
圖1 液體的普遍化密度關係該方法所需要的僅僅是通常可以找到的實驗數據, 其結果也是相當精確的。當接近臨界點時,由於溫度和壓力對液體密度的影響大大增大,則其結果的精確度也大為降低。
典例
(1)試估算310.15K的飽和液態氨的摩爾體積;
(2)估算310K、10.13MPa下液態氨的摩爾體積。
普遍化關聯注1:已知實驗值為 。
普遍化關聯注2:查表得氨的臨界參數為 則得:
普遍化關聯按修正的Rackett方程計算
普遍化關聯解:
普遍化關聯
普遍化關聯通過查表可得 中的 則有:
普遍化關聯
普遍化關聯
普遍化關聯結果與實驗值相比誤差為0.07%。
按普遍化密度關係計算
解:
普遍化關聯
普遍化關聯
普遍化關聯
普遍化關聯根據 的值查表得 ,將 的值代入液體的對比密度定義式可得:
普遍化關聯
普遍化關聯結果與實驗值相比誤差為4.0%。
普遍化關聯
普遍化關聯
普遍化關聯
普遍化關聯若利用飽和液體摩爾體積在310.15K時的實驗值0.02914m3/kmol,則可用式 求出摩爾體積。從液體的普遍密度關係圖查得飽和液體在 時的 ,將以上已知數值代入式,可得:
普遍化關聯該結果與實驗值基本相符。

