簡介
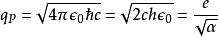
普朗克電荷物理學中, 普朗克電荷( )是以基礎常數定義的電荷量。在自然單位制中,是普朗克單位制的電荷單位。普朗克電荷的定義式為
普朗克電荷
普朗克電荷
普朗克電荷
普朗克電荷
普朗克電荷
普朗克電荷
普朗克電荷其中: 為真空下的光速, 為普朗克常數, 為約化普朗克常數又稱狄拉克常數, 為真空電容率, 為基本電荷, = (137.03599911)為精細結構常數。
普朗克電荷
普朗克電荷某些單位系統(如高斯CGS系統)將 定為1,此時 以最簡態出現:
普朗克電荷用國際單位制表示為
普朗克電荷普朗克電荷大約是基本或電子電荷的11.706倍。
普朗克單位制
普朗克電荷
普朗克電荷
普朗克電荷
普朗克電荷
普朗克電荷
普朗克電荷普朗克單位制是一種計量單位制度,由德國物理學家馬克斯·普朗克最先提出,因此命名為普朗克單位制。這種單位制是自然單位制的一個實例,經過特別設計,使得某些基礎物理常數的值能夠簡化為1,這些基礎物理常數是萬有引力常數 ,約化普朗克常數 ,在真空里的光的光速 ,庫侖常數 ,其中 是真空電容率,也就是電常數,玻爾茲曼常數 。
普朗克電荷
普朗克電荷
普朗克電荷
普朗克電荷
普朗克電荷上述每一個常數都至少出現於一個基本物理理論: 在廣義相對論與牛頓的萬有引力定律、 在量子力學、 在狹義相對論、 在靜電學、 在統計力學與熱力學。實際上,以上的五個常數在許多物理定律的代數表達式中多次出現,因此引入普朗克單位制可以將這些代數表達式簡化,普朗克單位制也因此成為了理論物理學一個非常有用的工具。在統一理論方面的研究,特別如量子引力學中,普朗克單位制能夠給研究者一點大概的提示。
參閱
•量綱分析
•物理常數
•普朗克尺寸
•普朗克粒子
•普朗克紀元
•高斯單位制
