基本介紹
經典廣義相對論的奇性不可避免,所以標準大爆炸模型中時空存在著零點。但是考慮到量子力學的不確定性原理,一些基本量度,譬如長度和時間具有不確定性。不確定的程度由普朗克常數確定,從該常數可以定出最小的長度量子,即普朗克長度,為1.6×10 厘米,這遠遠小於原子核的尺度。測量任何長度不可能比這個更精確,而且比普朗克長度更短的長度是沒有意義的。同樣,作為時間量子的最小間隔,即普朗克時間,為10 秒。沒有比這更短的時間存在。這就是說,我們不可能把黑洞縮減為數學上的一個點,同樣也不能追溯到大爆炸的真正開始時刻。
相關公式
普朗克長度
普朗克尺度[馬克斯·普朗克提出的理論]是有意義的最小可測長度。
普朗克常數記為h,是一個物理常數,用以描述量子大小。在量子力學中占有重要的角色,馬克斯·普朗克在1900年研究物體熱輻射的規律時發現,只有假定電磁波的發射和吸收不是連續的,而是一份一份地進行的,計算的結果才能和試驗結果是相符。這樣的一份能量叫做能量子,每一份能量子等於普朗克常數乘以輻射電磁波的頻率。這關係稱為普朗克關係,用方程表示普朗克關係式,
普朗克尺度[馬克斯·普朗克提出的理論]其中,E 是能量,h 是普朗克常數,ν 是頻率。
能量單位為電子伏特(eV): 為電子,電量為-1.6×10 C,經過電壓為1V的電場時,獲得的能量即為1eV=1.6×10 J。
普朗克常數的值約為:
普朗克尺度[馬克斯·普朗克提出的理論]普朗克常數的物理單位為能量乘上時間,也可視為動量乘上位移量:
(牛頓(N)·米(m)·秒(s))為角動量單位
另一個常用的量為約化普朗克常數(reduced Planck constant),有時稱為狄拉克常數(Dirac constant),紀念保羅·狄拉克:
普朗克尺度[馬克斯·普朗克提出的理論]其中 π 為圓周率常數 pi。ћ 念為 "h-bar" 。
普朗克常數用以描述量子化,微觀下的粒子,例如電子及光子,在一確定的物理性質下具有一連續範圍內的可能數值。例如,一束具有固定頻率ν 的光,其能量E 可為:
普朗克尺度[馬克斯·普朗克提出的理論]有時使用角頻率ω = 2πν :
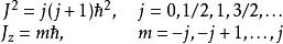
普朗克尺度[馬克斯·普朗克提出的理論]許多物理量可以量子化。例如角動量量子化。J 為一個具有旋轉不變數的系統全部的角動量,J 為沿某特定方向上所測得的角動量。其值:
普朗克尺度[馬克斯·普朗克提出的理論]因此,ћ 可稱為 "角動量量子"。
相關定理
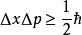
普朗克常數也使用於海森堡不確定原理。在位移測量上的不確定量(標準差)Δx,和同方向在動量測量上的不確定量 Δp ,有如下關係:
普朗克尺度[馬克斯·普朗克提出的理論]![普朗克尺度[馬克斯·普朗克提出的理論] 普朗克尺度[馬克斯·普朗克提出的理論]](/img/e/dca/nBnauM3XwczN4kTN2czMzczM0MTM2MDO0YTMxADMwAzMwIzL3MzLxgzLt92YucmbvRWdo5Cd0FmLyE2LvoDc0RHa.jpg)
