斯拉法的價格思想
正文
英籍義大利經濟學家P.斯拉法
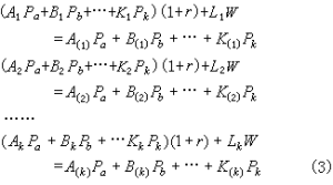
在他於1960年出版的《用商品生產商品:經濟理論批判緒論》一書中對單一產品和聯合產品的價格決定進行了獨到的論述,這是他價格思想的主要體現。 單一產品生產部門體系的價格決定 單一產品指一個行業或程式只生產一種產品,或某種產品只由某一個行業或程式單獨生產。假定各行業收益規模不變,完整的單一產品生產部門體系為:

,並且,
。由此,這個體系就處在一種自行更新狀態。 (1)式和(2)式合計有K+2個變數(K個價格和工資W與利潤率r),卻只有K+1個方程。顯然,這個體系的演算存在一個自由度。斯拉法將利潤率作為自變數來處理。由此,這個體系演算有解。也就是說,當工人與資本家之間的收入分配已定時,價格才可確定。
顯然,這個體系的價格不是由勞動價值決定的,而是“生產的社會技術條件”決定的。從總體上講,斯拉法借鑑了D.李嘉圖的“穀物模型”方法,即利潤或剩餘分配的決定和商品價格的決定是通過相同的機制同時進行的。也因為如此,斯拉法用利潤率而不是用工資作為自變數來處理。在斯拉法看來,利潤率(或均衡時的利息率)變動是與生產技術選擇相聯繫的。
(2)式是單一產品生產部門體系的國民收入方程。國民收入是由許多商品組成的,這些商品的價值也可以稱為“合成商品”,定它等於1。在斯拉法看來,國民收入或純產品分為工資與利潤兩部分,兩者存在消長關係,“合成商品”也為“標準商品”。在價格體系演算時,用"標準商品"作為單位標準尺度,可定某類商品價格等於1,以此求出其他類商品價格。
上述體系的價格不是任何產品的價格,而只包括"基本產品"的價格,即參加所有產品生產的那些產品。
聯合產品的價格決定 聯合產品指一種程式或方法同時生產兩種或兩種以上的產品,或幾種程式或方法所聯合生產的產品。在聯合生產條件下,關於單一產品生產部門體系的決定條件就不再足以決定聯合產品的價格。在這裡,存在比程式多的價格需要確定,因而存在比程式多的方程來決定價格。對此,斯拉法通過假定“程式數目等於商品數目”來解決這個困難。同時,假定程式的數目等於商品的數目,而這些程式要符合可能存在的“使用所需”的比例。這也同樣是一大難題。對此,斯拉法設定第二個並行的程式來處理。根據斯拉法的論述,聯合生產體系為:

為第一種程式的產品;
為最後程式的產品。 與單一產品生產部門體系相比,聯合生產體系要複雜得多,在許多方面存在極大的差別。最顯著的是,在聯合生產體系中,存在負數勞動量和負數價格。

