概念
斜碰斜碰也可分為彈性碰撞、非彈性碰撞兩類。研究斜碰問題時,運用正交分解法較為方便。注意:發生非對心碰撞的兩個小球,可以將小球速度沿球心連線和垂直球心連線兩個方向分解,在這兩個方向上套用動量守恆定律列式求解。
原理
非對心碰撞的兩個物體,碰撞前後速度不在同一條直線上,屬於二維碰撞問題.如果系統碰撞過程中所受合外力為零,則仍然滿足動量守恆,這時通常將動量守恆用分量式表示.
計算
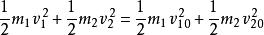
動量守恆方程
斜碰其中速度為矢量。
若是彈性碰撞,補充方程
斜碰兩個平面速度矢量v1,v2的解仍具有不定性,給出物體的幾何結構後,v1,v2均會有唯一解。
