斐波那契數列
義大利數學家斐波那契,提出了一個著名的“兔子數列”,該數列從第3個數起,後面的每個數都是它前面那兩個數的和。如果把斐波那契數列的任何一項除以前一項,將會得到一個比值極限約為0.618,俗稱黃金分割點,因此斐波納契數列又稱黃金分割數列,用數列{Fn}表示,則有:
斐波那契法
斐波那契法這個級數與大自然植物的關係極為密切。幾乎所有花朵的花瓣數都來自這個級數中的一項數字:鳳梨表皮方塊形鱗苞形成兩組旋向相反的螺線,它們的條數必須是這個級數中緊鄰的兩個數字(如左旋8行,右旋13行);還有向日葵花盤等。直到最近的1993年,人們才對這個古老而重要的級數給出真正滿意的解釋:此級數中任何相鄰的兩個數,次第相除,其比率都最為接近0.618034……這個值,它的極限就是所謂的"黃金分割數"。斐波那契數列在許多科技領域都得到了套用 。
斐波那契法簡介
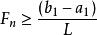
對閉區間[a,b]上的單峰函式f(t),按相鄰兩斐波那契數之比,使用對稱規則進行搜尋的方法。其特點是:逐步縮短所考察的區間,以儘量少的函式求值次數,達到預定的某一縮短率。設{F}是斐波那契數列,對於區間[0,1],確定搜尋次數n,則選擇兩點:
斐波那契法比較f(t)和f(t),消去其中較小值所在的一段區間;在縮短後的搜尋區間上,再作第二步疊代;如此繼續疊代下去,共做n次疊代,搜尋區間長度縮短為1/F(使小於給定值)。1953年,美國數學家基弗(Kiefer,J.C.)首先研究用斐波那契數搜尋一維函式f(t)的局部最大值 。
斐波那契法計算步驟
Fibonacci法計算步驟如下:
斐波那契法
斐波那契法
斐波那契法
斐波那契法
斐波那契法
斐波那契法
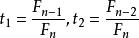
斐波那契法(1) 給定初始區間 和最終長度L。求計算函式值的次數n,使 ,辨別常數 ,計算試探點 和 ,計算函式值 和 ;
斐波那契法
斐波那契法(2) 若 ,則轉步驟(3);若 ,則轉步驟(4);
斐波那契法(3) 令 ,計算試點:
斐波那契法
斐波那契法若k=n-2,則轉步驟(6);否則,計算函式值,轉步驟(5);
斐波那契法
斐波那契法(4) 令,計算試點:
斐波那契法
斐波那契法若k=n-2,則轉步驟(6);否則,計算函式值,轉步驟(5);
(5) 置k:=k+1,轉至步驟(2);
斐波那契法
斐波那契法
斐波那契法
斐波那契法
斐波那契法
斐波那契法
斐波那契法(6) 令,計算和;若,則令;若,則令。停止計算,極小點含於。
斐波那契法流程圖
斐波那契法的流程圖如圖1所示。
圖1套用
斐波那契法有如下套用領域:
(1)可以用斐波那契數列的尋優方法來計算交流電機驅動系統的效率,該方法的突出特點是與損耗模型無關,並能使系統快速達到效率最人工作點。
(2)從運籌學的斐波那契法來論述波浪理論,也可以從斐波那契法的最優分劃點來掌握波浪理論中的最佳投資。

