【藥品名稱】
通用名稱:氟康唑葡萄糖注射液
商品名稱:文清
英文名稱:FluconazoleandGlucoseInjection
漢語拼音:FukangzuoPutaotangZhusheye
【成份】
氟康唑。
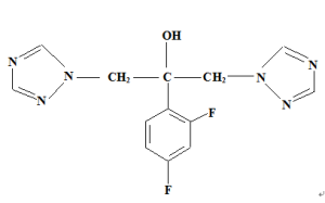
化學名稱:α-(2,4-二氟苯基)-α-(1H-1,2,4-三唑-1-基甲基)-1H-1,2,4-三唑-1-基乙醇。
化學結構式:
文清分子式:C13H12F2N6O分子量:306.28
輔料:葡萄糖。
【性狀】
本品為無色或幾乎無色的澄明液體。
【適應症】
本品主要用於以下適應症中病情較重的患者:
1、念珠菌病:用於治療口咽部和食道念珠菌感染;播散性念珠菌病,包括腹膜炎、肺炎、尿路感染等;念珠菌外陰陰道炎。尚可用於骨髓移植患者接受細胞毒類藥物或放射治療時,預防念珠菌感染的發生。
2、隱球菌病:用於治療腦膜以外的新型隱球菌病;治療隱球菌腦膜炎時,本品可作為兩性黴素B聯合氟胞嘧啶初治後的維持治療藥物。
3、球孢子菌病。
4、本品亦可替代伊曲康唑用於芽生菌病和組織胞漿菌病的治療。
【規格】
100ml:氟康唑0.2g與葡萄糖5.0g。
【用法用量】
靜脈滴注,每次100ml(0.2g),滴注時間為30~60分鐘。
成人⑴播散性念珠菌病:首次劑量0.4g,以後一次0.2g,一日1次,持續4周,症狀緩解後至少持續2周。⑵食道念珠菌病:首次劑量0.2g,以後一次0.1g,一日1次,持續至少3周,症狀緩解後至少持續2周。根據治療反應,也可加大劑量至一次0.4g,一日1次。⑶口咽部念珠菌病:首次劑量0.2g,以後一次0.1g,一日1次,療程至少2周。⑷念珠菌外陰陰道炎:單劑量,0.15g。⑸隱球菌腦膜炎:一次0.4g,一日1次,直至病情明顯好轉,然後一次0.2~0.4g,一日1次,用至腦脊液病毒培養轉陰後至少10~12周。或:一次0.4g,一日2次,持續2天,然後一次0.4g,一日1次,療程同前述。
腎功能不全者若只需給藥1次,不用調整劑量;需多次給藥時,第一及第二日應給常規劑量,此後應按肌酐清除率來調節給藥劑量。
如下表所述:
肌酐清除率(ml/分鐘)劑量
>50常規劑量
11~50常規劑量的一半
進行常規透析的病人每次透析後給藥1次
小兒治療方案尚未建立。有資料報導起始劑量按體重一日3~6mg/kg,一日1次,治療少數出生2周至14歲的小兒患者,結果是安全的。
【不良反應】
1、常見消化道反應,表現為噁心、嘔吐、腹痛或腹瀉等。
2、過敏反應:可表現為皮疹,偶可發生嚴重的剝脫性皮炎(常伴隨肝功能損害)、滲出性多形紅斑。
3、肝毒性:治療過程中可發生輕度一過性血清氨基轉移酶升高,偶可出現肝毒性症狀。尤其易發生於有嚴重基礎疾病(如愛滋病和癌症)患者。
4、可見頭痛、頭昏。
5、某些患者,尤其有嚴重基礎疾病(如愛滋病和癌症)患者,可能出現腎功能異常。
6、偶可發生周圍血象一過性中性粒細胞減少和血小板減少等血液學指標改變,尤其易發生於有嚴重基礎疾病(如愛滋病和癌症)患者。
【禁忌】
對本品或其他吡咯類藥物有過敏史者禁用。
【注意事項】
1、本品與其他吡咯類藥物可發生交叉過敏反應,因此對任何一種吡咯類藥物過敏者禁用本品。
2、由於本品主要自腎排出,因此治療中需定期檢查腎功能。用於腎功能減退患者需減量套用。
3、本品目前在免疫缺陷者中的長期預防用藥,已導致念珠菌屬等對氟康唑等吡咯類抗真菌藥耐藥性的增加,故需掌握指征,避免無指征預防用藥。
4、治療過程中可發生輕度一過性血清氨基轉移酶升高,偶可出現肝毒性症狀。因此用本品治療開始前和治療中均應定期檢查肝功能,如肝功能出現持續異常,或肝毒性臨床症狀時均需立即停用本品。
5、本品與肝毒性藥物合用、需服用本品兩周以上或接受多倍於常用劑量的本品時,可使肝毒性的發生率增高,需嚴密觀察,在治療前和治療期間每兩周進行一次肝功能檢查。
6、本品套用療程應視感染部位及個體治療反應而定。一般治療應持續至真菌感染的臨床表現及實驗室檢查指標顯示真菌感染消失為止。隱球菌腦膜炎或反覆發作口咽部念珠菌病的愛滋病患者需用本品長期維持治療以防止復發。
7、接受骨髓移植者,如嚴重粒細胞減少已先期發生,則應預防性使用本品,直至中性粒細胞計數上升至1×109/L以上後7天。
8、腎功能損害者,可按前述方案調整用藥劑量(見【用法用量】);血液透析患者在每次透析後可給予本品一日量,因為3小時血液透析可使本品的血藥濃度降低約50%。
【孕婦及哺乳期婦女用藥】
1、動物試驗中,本品高劑量給予動物時可出現流產、死胎增多、幼年動物肋骨畸形、齶裂等變化。雖然在人類中未發現此類情況,但孕婦仍應禁用。
2、尚無母乳中含本品濃度的數據,故哺乳期婦女慎用或套用本品時暫停哺乳。
【兒童用藥】
本品對小兒的影響缺乏充足的研究資料,雖然少數出生2周至14歲小兒患者以每日3~6mg/kg(按體重)劑量治療未發生不良反應,但小兒仍不宜套用。
【老年用藥】
腎功能無減退的老年患者無需調整劑量。腎功能減退的老年患者須根據肌酐清除率調整劑量(詳見【用法用量】)。
【藥物相互作用】
1、本品與異煙肼或利福平合用時,可影響本品的血藥濃度。
2、本品與甲苯磺丁脲、氯磺丁脲和格列吡嗪等磺醯脲類降血糖藥合用時,可使此類藥物血藥濃度升高而可能導致低血糖,因此需監測血糖,並減少磺醯脲類降血糖藥的劑量。
3、高劑量本品和環孢素合用時,可使環孢素的血藥濃度升高,致毒性反應發生的危險性增加,因此必須在監測環孢素血藥濃度並調整劑量的情況下方可謹慎使用。
4、本品與氫氯噻嗪合用,可使本品的血藥濃度升高。
5、本品與茶鹼合用時,茶鹼血藥濃度約可升高13%,可導致毒性反應,故需監測茶鹼的血藥濃度。
6、本品與華法林等雙香豆素類抗凝藥合用時,可增強雙香豆素類抗凝藥的抗凝作用,致凝血酶原時間延長,故應監測凝血酶原時間並謹慎使用。
7、本品與苯妥英鈉合用時,可使苯妥英鈉的血藥濃度升高,因此兩者同用時需監測苯妥英鈉的血藥濃度。
8、本品與咪達唑侖等短效苯並二氮卓類藥物合用時,可引起咪達唑侖血藥濃度明顯升高,並可出現精神運動作用。此作用在口服較靜脈注射表現更加明顯。如患者需要同時接受氟康唑和苯並二氮卓類藥物治療,應考慮減少苯並二氮卓類藥物的給藥劑量,並對患者進行適當的觀察。
9、本品與西沙必利合用可能出現心臟不良反應,包括尖端扭轉型心動過速。接受氟康唑治療的患者禁止合用西沙必利。
10、本品與他克莫司合用時,可引起他克莫司血藥濃度升高,可能導致腎毒性。應嚴密觀察合用氟康唑和他克莫司的患者。
11、本品每日400毫克或更高劑量與特非那丁合用時,可明顯升高特非那丁的血漿濃度。禁止氟康唑400毫克或更高劑量與特非那丁合用。當氟康唑每天給藥劑量低於400毫克並與特非那丁合用時,應嚴密監測特非那丁的血藥濃度。
12、本品與齊多夫定合用時,可使後者的血藥濃度升高,應觀察與齊多夫定有關的不良反應的發生。
13、本品與阿司米唑或其它通過細胞色素P-450系統代謝的藥物合用時,可導致這些藥物的血清濃度升高。在缺乏明確資料的情況下,當與氟康唑合用時,應謹慎使用這些藥物,並嚴密觀察患者。
醫生應注意其他尚未研究但可能發生的藥物相互作用。
【藥物過量】
曾有氟康唑用藥過量的報導。一例年齡為42歲、因愛滋病病毒感染的患者,服用氟康唑8200毫克後,出現了幻覺和興奮性偏執行為。這位患者被收住醫院後48小時內病情恢復正常。
對用藥過量的患者,可只採取對症治療(支持療法)。
氟康唑大部分由尿排出,強迫利尿可能增加其清除率。經血液透析治療3小時,可使氟康唑的血漿濃度降低約50%。
【藥理毒理】
1、藥理
本品屬吡咯類抗真菌藥。抗真菌譜較廣。口服及靜注本品對人和各種動物真菌感染,如念珠菌感染(包括免疫正常或免疫受損的人和動物的全身性念珠菌病)、新型隱球菌感染(包括顱內感染)、糠秕馬拉色菌、小孢子菌屬、毛癬菌屬、表皮癬菌屬、皮炎芽生菌、粗球孢子菌(包括顱內感染)及莢膜組織胞漿菌、斐氏著色菌、卡氏枝孢霉等有效。本品的體外抗菌活性明顯低於酮康唑,但本品的體內抗菌活性明顯高於體外作用。本品的作用機制主要為高度選擇性干擾真菌的細胞色素P-450的活性,從而抑制真菌細胞膜麥角固醇的生物合成。
2、毒理
致畸作用大鼠經口給予氟康唑20mg/kg,可輕度延遲分娩過程,但不影響其生育力,大鼠圍產期結果可見,雌鼠給予20mg/kg和40mg/kg時,某些動物出現難產和延遲分娩。主要表現為死胎數量輕度增加和存活新生鼠數量減少。大劑量氟康唑對大鼠分娩的影響可能與其可特異性地降低該種屬動物的雌激素水平有關。
致突變Ames試驗、小鼠淋巴瘤LS178Y細胞系試驗、動物骨髓微核試驗、人體淋巴細胞染色體試驗結果均為陰性。
致癌作用試驗進行了小鼠和大鼠的研究,小鼠和大鼠分別按2.5、5或10毫克/公斤體重/日劑量(約為人體推薦劑量的2~7倍)口服氟康唑24個月,提示氟康唑無致癌作用。但雄性大鼠接受本品劑量為5mg/kg和10mg/kg,連續給藥24個月,可見動物肝細胞腺瘤發生率增高。
【藥代動力學】
靜脈給予本品100mg,平均血藥峰濃度(Cmax)為4.5~8mg/L。表觀分布容積(Vd)接近於體液總量。本品血漿蛋白結合率低(11%~12%),在體內廣泛分布於皮膚、水皰液、腹腔液、痰液等組織體液中,尿液及皮膚中藥物濃度約為血藥濃度的10倍;水皰皮膚中約為2倍;唾液、痰、水皰液、指甲中與血藥濃度接近;腦膜炎症時,腦脊液中本品的濃度可達血藥濃度的54%~85%。本品少量在肝臟代謝。主要自腎排泄,以原形自尿中排出給藥量的80%以上。血漿消除半衰期(t1/2)為27~37小時,腎功能減退時明顯延長。
血液透析或腹膜透析可部分清除本品。
兒童的藥物動力學
已報導的兒童藥物動力學參數如下所示:
文清1*所示為最後一天測定的結果
【貯藏】
遮光,密閉保存。
【包裝】
100ml玻璃輸液瓶,1瓶/盒。
【有效期】
24個月。
【執行標準】
國家食品藥品監督管理局國家藥品標準WS1-(X-088)-2005Z。
【批准文號】
國藥準字H20030083。
【生產企業】
企業名稱:魯南貝特製藥有限公司
