船舶重量性能
船舶重量
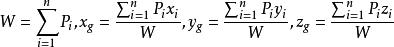
救生艇總重量即船舶重量W是船上各項重量的總和,可按下式求得
救生艇總重量式中:W——空船重量(Light weight),指船舶裝備齊全但無載重時的排水量,包括船體結構、動力裝置、船舶舾裝、機電設備、管系中的液體、鍋爐和冷凝器中的水等重量。,船舶的空船重量、重心在使用過程中是固定不變的,其值可從《船舶傾斜試驗報告書》查得。
救生艇總重量——船舶載重量(Load),指貨物、船員、行李、旅客、淡水、糧食、燃料、船舶常數等可變重量。
總載重量(Dead weight/DW)
船舶載重量的最大值稱為船舶總載重量DW。總載重量表示船舶運輸中總的載重能力,是表征船舶大小的重要量度,可以作為統計船舶擁有量的指標。
淨載重量( Net weight/NDW)
淨載重量指具體航次中船舶所能裝載貨物與旅客以及旅客行李及隨身攜帶物品在內的最大重量。淨載重量的大小影響著船舶的運輸成本。
排水量
船舶排水量( Displacement)是指自由漂浮於靜水面上的靜態船舶排開水的重量,等於空船重量和載重量之和。由於船舶在實際使用中裝載重量是變化的,其排水量也隨著變化,船舶的各種技術性能也隨之發生變化,因此需定義出船舶的若干典型的裝載情況來反映船舶的各種技術性能。對於民用船舶來說,最基本的兩種典型裝載情況下,其相應的排水量有兩種。
(1)空載排水量Δ(Light ship displacement):系指船舶在全部建成後交船時的排水量,即空船重量,滿足
救生艇總重量(2)滿載排水量Δ(FuIl loaded displacement):系指船舶吃水達到規定的滿載水線時的排水量,滿足
救生艇總重量根據滿載水線的不同,滿載排水量可能指夏季滿載排水量、冬季滿載排水量或者熱帶滿載排水量等,若無特別指出,滿載排水量指夏季滿載排水量。
對於空載排水量和滿載排水量,又可分為出港和到港兩種情況。前者指攜帶設計所規定的足額燃油、淡水、糧食及其他給養物品時的排水量,後者則假定這些消耗品還剩餘10%時的排水量。所說的設計排水量,如無特別註明,是指夏季滿載出港時的排水量,簡稱滿載排水量。
船舶的重心
救生艇總重量
救生艇總重量
救生艇總重量
救生艇總重量設空船重量、油水儲備、固定儲備、貨物、旅客重量及船舶常數等各項重量為,的重心位置為,船舶的重心位置為,則船舶重量和重心位置可按合力矩定理得
救生艇總重量式中:n——組成船舶總重量的各項重量的數目。
上式中計算船舶重量和重心位置的方法比較簡單。為了避免船舶產生橫傾,船舶在配載過程中,應儘量滿足貨物重量左右對稱並且裝卸港口對稱,以保證船舶重心位置處於中縱剖面上,即y=0,避免船舶產生初始橫傾。
船舶裝卸後的重量與重心
救生艇總重量
救生艇總重量
救生艇總重量
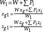
救生艇總重量若裝卸前船舶重量為W、重心G,裝卸貨重量,船舶裝卸後的重量為W、重心G,可根據合力矩定理得
救生艇總重量式中:W——裝卸前船舶的重量,其對應的重心坐標為x和z,當裝卸前船舶為空船時,則W為W,空船重心坐標變為x和z;
P——裝卸第i 項重物的重量,裝貨取正號,卸貨取負號;
x——P重物重心的縱向坐標,船中前取正號,船中後取負號;
z——P重物重心的垂向坐標,均取正號。
平行力移動原理
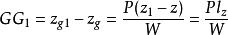
救生艇總重量在平行力系中,若某一分力P向任一方向移動,則其合力W的作用中心也隨之向同一方向平行移動,合力W的作用中心移動的距離GG與分力P移動的距離成正比與合力形的大小成反比,即分力移動的力矩等於合力移動的力矩。表達式為
救生艇總重量船內重物移動
圖1
救生艇總重量當船內重物移動引起船舶重心改變時,可根據平行力移動原理計算船舶重心的變化。如圖1所示,船舶的重量W,重心位於G,當船內重物P由位置q(z)垂直移動到q1(z1)時,垂直移動的距離為,船舶的重心G(z)必將隨之垂直上移到G(z),移動的距離為
救生艇總重量當船內重物P水平橫移、縱移或任意方向移動時,也可利用平行力移動原理導出相應關係式。
平行力移動原理推廣
(1)均質體
對於均質體則有:W=ρV,P=ρv,則有
救生艇總重量式中:V——均質體的體積;
GG——V的體積中心移動的距離;
v——V內任一部分的體積,是分體積;
救生艇總重量——分體積中心移動的距離。
上式表明分體積移動的體積矩等於整個體積移動的體積矩。
(2)均質薄形平板
對於均質薄形平板則有:W=ρAd,P=ρad,則有
救生艇總重量式中:d——均質薄形平板的厚度;
A——均質薄形平板面積;
GG——面積中心移動的距離;
a——A內任一部分的面積,是分面積;
救生艇總重量——分面積中心移動的距離。
上式表明分面積移動的面積矩等於整個面積移動的面積矩。
運用平行力移動原理可以簡便快捷地處理船內重物移動對船舶重心影響的問題。同理,利用定理的推廣可以處理分體積(分面積)移動對整個體積(整個面積)中心的影響問題,如船舶排水體積的中心及船舶水線面積中心的變化問題。

