簡介
攪拌過程是極其複雜的,乾燥的砂、石和水泥、水混合後,材料的狀態和性質都發生了變化,形成了膠凝結構。因此,長期以來攪拌過程難以定量化,成為工程界遺留的難題之一。實用中,只好採用類比法或經驗公式來選擇攪拌設備的原動機,估計其傳動機構的幾何尺寸。為解決此問題,套用相似理論和量綱分析法,通過試驗研究,可以建立攪拌功率的計算公式。
相似理論是理論和實驗的聯繫紐帶。利用相似理論,可以預先定性地選擇要確定的參數間的無量綱的準則關係式。試驗基於相似理論,可以通過次數大為縮減的有限次試驗,求出相似準則之間的函式關係,得到現象或過程的規律。須注意,這樣的模型試驗結果可推廣到原型上去。因此,相似理論和量綱分析法是研究混凝土的攪拌過程,也是研究工程機械的工作機構與介質相互作用動力學問題的理論
攪拌功率的計算
攪拌機各式各樣,但從定性的理論分析和其參數選擇來看,卻有許多共同之處。它們都有物理的、運動的和幾何的3組基本參數。下面以振動攪拌機為例來論述。
物理參數——混合物密度d,粘性_,剪應力f,彈性模量E,自由落體加速度g,攪拌時間t,攪拌係數b∥(b⊥),攪拌功率N等。
運動參數——激振器的振幅A和頻率k,攪拌機構的旋轉角速度k0或線速度v0,混合物在攪拌室的移動速度v等。
幾何參數——攪拌筒半徑R,高度H,長度L,葉片的形狀和表示特徵的線性尺寸,激振器的外表面積F,混合室容積V等。
當利用量綱分析法研究振動攪拌過程時,重要的事情也是從描述過程的所有參數中,選擇獨立的基本物理量,其量綱不能通過其他參數量綱的代數變換來獲得。
振動機構、攪拌工作機構的運動和幾何參數影響攪拌過程的動力學特性,此時,不同工作機構、振動機構與混凝土作用原理是不同的。若首先應主要保證混合物在巨觀上層流的對流移動,那么第二位的任務就是在混合物結構—流變特性極大變化狀態下,保證在微觀上的擴散混合。這樣的分析,揭示了過程的物理本質,可簡化準則方程式。
攪拌功率的一般表達式為
攪拌功選取基本物理量為d、k0,R,可得準則方程式
攪拌功式中: C、m1、m2、m3、m4均為常數,其值由在實驗中改變A、k、k0、H,通過回歸分析來確定。
攪拌功令。
攪拌功則。
(1)當A、k、k0為常數,改變H時,C1、C2、C3均為常數,可得到關係式C0= f(C4),此時得到
攪拌功
攪拌功取對數得:
攪拌功
攪拌功改變加料高度H,確定,然後通過回歸得到相關係數、標準差以及置信區間等。
(2)當k、k0、H為常數,改變振幅A時,C1、C2、C4為常數,可得到關係式C0=f(C3),此時得到
攪拌功
攪拌功取對數得:
攪拌功改變振幅A,確定C3和m3,然後通過回歸得到相關係數以及置信區間等。
3)當A、k0、H為常數,改變振動頻率k時,C1、C3、C4均為常數,可得到關係式C0= f(C2),此時得到
攪拌功
攪拌功取對數得:
攪拌功改變振動圓頻率k,確定C2和m2,,然後通過回歸得到相關係數以及置信區間等。
4)當A、k、H為常數,改變攪拌葉漿的旋轉角速度k0時,C3、C4為常數,C1、C2為變數,此時得到
攪拌功
攪拌功取對數得:
攪拌功改變攪拌軸轉速k0,確定C1和m1,然後通過回歸得到相關係數以及置信區間等。
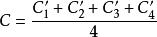
5)確定常數C
攪拌功其中,
攪拌功
攪拌功
攪拌功
攪拌功即可求得攪拌功率的表達式。
影響攪拌功率的主要要素
一、攪拌介質的物性,如各介質的密度、液相介質黏度、固體顆粒大小、氣體介質通氣率等。
二、攪拌器的構造和運轉參數,如攪拌器的型式、槳葉直徑和寬度、槳葉的傾角、槳葉數量、攪拌器的轉速等。
三、攪拌槽的構造參數,如攪拌槽內徑和高度、有無擋板或導流筒、擋板的寬度和數量、導流筒直徑等。
