簡介
擴束器設計用於擴大平行輸入光束的直徑至較大的平行輸出光束。擴束器常用於如雷射掃描、干涉測量或遙測套用中。現在的擴束器都是採用從完善的光學望遠鏡基礎中發展而來的無焦系統設計。在此類系統中,位於無窮遠的物體光線,以平行的方式進入內部光學件的光軸中,同時也以平行的方式離開。這意味著整個系統不具備焦距。
理論
望遠鏡
傳統上,光學望遠鏡主要用於觀察遠處的目標,例如宇宙中的天體。光學望遠鏡主要可分為兩大類:折射望遠鏡和反射望遠鏡。折射望遠鏡充分利用透鏡來折射或彎曲光線,而反射望遠鏡則是利用反射鏡來反射光線。
折射望遠鏡可分為以下兩類:克卜勒式望遠鏡和伽利略式望遠鏡。克卜勒式望遠鏡由焦距為正的透鏡組合而成,而透鏡是通過焦距總和分割(如圖)。離來源圖像或被觀察物體最近的透鏡被稱為物鏡,而最靠近人眼或成像的透鏡則成為成像透鏡。
克卜勒式望遠鏡伽利略式望遠鏡由正透鏡和負透鏡組合而成,透鏡也是通過焦距總和分割(如下圖)。但是,由於其中一個透鏡為負透鏡,因此兩個透鏡之間的距離比克卜勒式望遠鏡的透鏡距離短。需要注意的是,使用兩個透鏡之間的有效焦距能夠獲得出色的近似總長度,而使用後焦距則能夠獲得最準確的結果。
伽利略式望遠鏡望遠鏡的放大倍數或放大倍數的倒數等於物鏡焦距和目鏡焦距的比值。
若放大倍數大於1,則望遠鏡將物體放大;若放大倍數小於1,則望遠鏡將物體縮小。
雷射擴束器
在雷射擴束器結構中,物鏡和成像透鏡的位置顛倒。平行輸入光束在克卜勒式雷射擴束器中集中在物鏡和成像透鏡之間的一個點上,進而形成一個雷射能量聚焦的區域(如圖)。該集中的點會加熱透鏡之間的空氣,折射光路中的光線,而這有可能會造成波前誤差。有鑒於此,大部分雷射擴束器都選擇使用伽利略式雷射擴束器設計或其變體(如圖)。
克卜勒式雷射擴束器
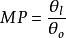
伽利略式雷射擴束器使用克卜勒式或伽利略式設計於雷射擴束器套用時,重要的是能夠計算出輸出光束髮散,這將決定了完美平行光線的偏差。光束髮散取決於輸出雷射光束直徑和輸出雷射光束直徑。
放大倍數(MP)現在即可依據光束髮散或光束直徑來表示。
擴束器
擴束器
擴束器解上述方程式時,可以看到輸出光束直徑()提高時,則輸出光束髮散減少,以此類推。所以,如果您將雷射擴束器來縮小雷射光束,光束直徑將會縮小,但雷射的光束髮散將會提高。小光束的代價就是形成很大的擴張角。
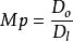
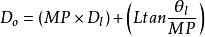
除此之外,能夠在特定工作距離(L)計算出輸出光束直徑也是極為重要的。輸出光束直徑是在特定工作距離(L)後輸入光束直徑和光束髮散的函式(如圖)。
計算在特定工作距離下的輸出光束直徑
擴束器
擴束器
擴束器雷射光束髮散是以全形指定的,所以上述方程式是以表示,而非。
由於雷射擴束器會隨放大倍數而提高輸入光束,以及降低輸入光束髮散,因此會得到如下結果:
擴束器
擴束器套用示例
以數值示例探究先前所述的雷射擴束器方程式。
初始參數:
雷射擴束器放大倍數 = MP = 10X
輸入光束直徑 = 1mm
輸入光束髮散 = 1mrad
工作距離 = L = 100m
計算參數:輸出光束直徑
擴束器
擴束器在不具備使用方程式的雷射擴束器的情況下,將此與光束直徑相比較。
擴束器雖然雷射擴束器會因特定的擴束功率而提高輸入雷射光束,但它也會因相同的擴束功率而降低光束髮散,進而在較大距離下形成較小的平行光束。
