PN結的擊穿機理
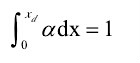
當 PN 結的反向偏壓較高時,會發生由於碰撞電離引發的電擊穿,即雪崩擊穿。存在於半導體晶體中的自由載流子在耗盡區內建電場的作用下被加速其能量不斷增加,直到與半導體晶格發生碰撞,碰撞過程釋放的能量可能使價鍵斷開產生新的電子空穴對。新的電子空穴對又分別被加速與晶格發生碰撞,如果平均每個電子(或空穴)在經過耗盡區的過程中可以產生大於 1 對的電子空穴對,那么該過程可以不斷被加強,最終達到耗盡區載流子數目激增,PN 結髮生雪崩擊穿。定義碰撞電離率 α 為載流子沿電場方向經過單位距離而引發新的電子空穴對的幾率,對於矽而言,電子與空穴對應的碰撞電離率 α 是不相同的,為簡化計算,我們常用α的有效值代替空穴和電子各自的α,從而雪崩擊穿發生的臨界條件可表示為:
擊穿電壓
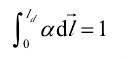
擊穿電壓值得說明的是,有一些化合物半導體如 GaAs 中電子與空穴的碰撞電離率α是相等的,對於這些化合物半導體式(1-1)是嚴格成立的,對於矽,α的有效值約為 1.8×10E。如果考慮到曲面結,電場不是簡單的一維分布,將式(1-1)以矢量路徑積分的形式表出:
擊穿電壓式(1-2)中l表示電場的方向矢量,為耗盡區邊界的位置。例如,對於球面結,電場的方向沿球面的半徑方向,載流子被徑向的電場加速直到與晶格發生碰撞或到達耗盡區邊界,發生雪崩擊穿的臨界條件為:
擊穿電壓定義 PN 結髮生臨界擊穿對應的電壓為 PN 結的擊穿電壓 BV,BV 是衡量 PN結可靠性與使用範圍的一個重要參數,在 PN 結的其它性能參數不變的情況下,我們希望 BV 的值越高越好。在一維電場分布的條件下,擊穿電壓可表示為:
擊穿電壓如考慮到電場的非一維分布如曲面結或不規則結面的情況,擊穿電壓更普遍的表達式為:
擊穿電壓 BV 為電場沿其起點至其終點的路徑積分值。

