基本定義
摩爾電導率Λm(molar conductivity)是指把含有1mol電解質的溶液置於相距為單位距離的電導池的兩個平行電極之間,這時所具有的電導。
摩爾電導率定義示意圖摩爾電導率與濃度的關係
當濃度降低時,粒子之間相互作用減弱,正、負離子遷移速率加快,溶液的摩爾電導率必定升高。但不同的電解質,摩爾電導率隨濃度降低而升高的程度也大不相同。當濃度降低到一定程度後,強電解質的摩爾電導率接近為一定值,而弱電解質的值仍在繼續變化。
若在同一濃度區間內比較各種摩爾電導率值的變化,例如就NaCl,H2SO4,CuSO4互相比較,就會發現,當濃度降低時,各個摩爾電導率值的變化程度不同。CuSO4變化最大,H2SO4次之,而NaCl變化最小。這是因為2-2價型鹽類離子之間的吸引力較大,當濃度改變時,對靜電引力的影響較大,所以摩爾電導率值的變化也較大。
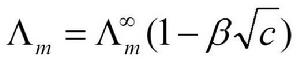
電解質在水溶液中的摩爾電導率隨濃度的變化強電解質通常當濃度在0.001mol·dm-3以下時,Λm與√c之間呈線性關係Λm與濃度c之間有如下關係:
強電解質在低濃度下摩爾電導率與濃度關係式其中β在一定溫度下,對於一定的電解質和溶劑而言是一個常數。Λm(∞)為溶液在無限稀釋時的摩爾電導率,又稱為極限摩爾電導率。
