簡介
分式線性變換
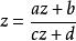
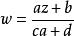
拋物變換分式線性變換是一種特殊的映射。從擴充z平面到擴充w平面到共形映射稱為分式線性變換,簡稱線性變換,即,其中a,b,c,d都是復常數,ad-bc≠0並且當z=∞時對應w=a/c,z=-d/c時對應w=∞。
分式線性變換總可以分解成下述簡單類型變換的複合:
1、w=kz+h(k≠0);
2、w=1/z;
拋物變換
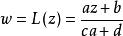
拋物變換除恆等變換w=z外,一個分式線性變換至多有兩個不動點(即在分式線性變換下映為自身的點),若L(z)僅有一個不動點,則稱L(z)為拋物變換。
判定
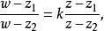
分式線性變換的不動點由下面的方程
拋物變換
拋物變換決定,即cz+(d-a)z-b=0。若此二次方程有兩個不同的有窮根z,z,則變換L(z)可寫成其中k是常數。
