化合物簡介
物化性質
外觀與性狀:白色結晶粉末

密度:1.73g/cm3
熔點:177°C
沸點:475.4ºCat760mmHg
閃點:241.3ºC
折射率:-142°(C=1,MeOH)
儲存條件:Freezer[1]
蒸汽壓:4.91E-11mmHgat25°C
分子結構數據
1、摩爾折射率:54.14
2、摩爾體積(cm/mol):132.2
3、等張比容(90.2K):394.6
4、表面張力(dyne/cm):79.3
5、介電常數:無可用的
6、極化率(10cm):21.46
7、單一同位素質量:229.052111Da
8、標稱質量:229Da[2]
9、平均質量:229.2562Da
計算化學數據
1.疏水參數計算參考值(XlogP):無
2.氫鍵供體數量:2
3.氫鍵受體數量:4
4.可鏇轉化學鍵數量:2
5.互變異構體數量:3
6.拓撲分子極性表面積113
7.重原子數量:15
8.表面電荷:0
9.複雜度:331
10.同位素原子數量:0
11.確定原子立構中心數量:2
12.不確定原子立構中心數量:0
13.確定化學鍵立構中心數量:0
14.不確定化學鍵立構中心數量:0
15.共價鍵單元數量:1
合成方法
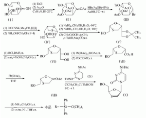
1、對化合物(Ⅰ)進行選擇性6-O-磺醯化反應,接著乙醯化得到化合物(Ⅱ),收率96.7%。化合物(Ⅱ)以乙酸作溶劑,和3moL的溴化氫/L酸(45%,W/V)反應,溴化得到化合物(Ⅲ),收率99%。溴化物(Ⅲ)和3.3moI。的黃原酸乙酯鉀鹽,在丙酮中回流,硫代並環合;然後在甲醇中用氨水進行水解,得到化合物(Ⅳ),二步收率72%。化合物(Ⅳ)經柱層析提純,為結晶性的固體。化合

2.將5g乙醯氧基-2-(二苯基叔丁基矽氧甲基)-1,3-氧硫雜環戊烷和4-乙醯氨基-2-三甲基矽氧基嘧啶溶於二氯乙烷,在Lewis酸催化下縮合,再以氨-甲醇水解脫去乙醯基,最後在四氫呋喃中,以四正丁基氟化銨水解脫去三甲基矽基,即得到拉米夫定。
用途
1,抗病毒藥,用於B型肝炎。
2,抗病毒藥,用於肝膽疾病的治療
3,肝膽疾病用藥。
4,拉米夫定作為一種新的核苷類似物被廣泛接受,是目前臨床套用中療效最好的、最具代表性的核苷類似物。在中國上市後的商品名為賀普丁。
藥典標準
來源(名稱)、含量(效價)
本品為(-)-1-[(2R,5S)-2-(羥甲基)-1,3-氧硫雜環戊烷-5-基]胞嘧啶。按無水與無溶劑物計算,含拉米夫定(C8H11N3O3S)應為97.5%~102.0%。
性狀
本品為白色或類白色結晶性粉末。
本品在水中溶解,在甲醇中略溶。
熔點
本品的熔點(2010年版藥典二部附錄ⅥC)為174~179℃。
比鏇度
取本品,精密稱定,加水溶解並定量稀釋製成每1ml中約含5mg的溶液,依法測定(2010年版藥典二部附錄ⅥE),比鏇度為-97°至-99°。
鑑別
(1)本品的紅外光吸收圖譜應與對照的圖譜(《藥品紅外光譜集》975圖)一致。如不一致,取本品與拉米夫定對照品分別用甲醇溶解,揮發後測定,本品的紅外光吸收圖譜應與拉米夫定對照品的圖譜一致(2010年版藥典二部附錄ⅣC)。
(2)在拉米夫定對映體檢查項下記錄的色譜圖中,供試品溶液主峰的保留時間應與系統適用性溶液中拉米夫定峰的保留時間一致。
檢查
溶液的顏色
取本品,精密稱定,加水溶解並定量稀釋製成每1ml中約含50mg的溶液,照紫外-可見分光光度法(2010年版藥典二部附錄ⅣA),用4cm石英吸收池,在440nm的波長處測定,吸光度不得過0.3。
有關物質
取本品適量,精密稱定,加流動相溶解並定量稀釋製成每1ml中約含0.5mg的溶液,作為供試品溶液;精密量取適量,用流動相稀釋製成每1ml中約含0.5μg的溶液,作為對照溶液。精密稱取水楊酸對照品適量,加流動相溶解並定量稀釋製成每1ml中含0.5μg的溶液,作為對照品溶液。照含量測定項下的色譜條件,量取對照溶液20μl注入液相色譜儀,調節檢測靈敏度,使主成分色譜峰的峰高約為滿量程的20%,再精密量取供試品溶液、對照溶液和對照品溶液各10μl,分別注入液相色譜儀,記錄色譜圖至供試品溶液主峰保留時間的3倍。供試品溶液的色譜圖中如有雜質峰,水楊酸按外標法以峰面積計算不得過0.1%,其他各雜質峰面積乘以各自的校正因子後與對照溶液主峰面積進行比較,雜質Ⅰ的校正峰面積不得大於對照溶液主峰面積的3倍(0.3%);雜質Ⅱ的校正峰面積不得大於對照溶液主峰面積的2倍(0.2%),其他單個雜質峰面積均不得大於對照溶液主峰的面積(0.1%),雜質總量不得過0.6%(各雜質峰的相對保留時間和校正因子見下表)。
| 雜質 | 相對保留時間 | 校正因子 |
| 胞嘧啶 | 0.28 | 0.6 |
| 尿嘧啶 | 0.32 | 2.2 |
| 雜質Ⅰ | 0.36 | 1.0 |
| 雜質Ⅱ | 0.91 | 1.0 |
| 拉米夫定 | 1.00 | 1.0 |
| 雜質Ⅲ | 1.45 | 2.2 |
| 其他未知雜質 | - | 1.0 |
取本品適量,加水溶解並稀釋製成每1ml中約含0.25mg的溶液,作為供試品溶液;精密量取適量,用水稀釋製成每1ml中約含0.75μg的溶液,作為對照溶液。照高效液相色譜法(2010年版藥典二部附錄ⅤD)測定,用β-環糊精鍵合矽膠為填充劑;以0.1mol/L醋酸銨溶液-甲醇(95:5)為流動相,檢測波長為270nm;柱溫為15~30℃,流速為每分鐘1.0ml。取拉米夫定分離度混合物A對照品(含拉米夫定與拉米夫定對映體)約2.5mg,置10ml量瓶中,加水溶解並稀釋至刻度,搖勻,作為系統適用性溶液,量取10μl注入液相色譜儀。拉米夫定峰與拉米夫定對映體峰之間的分離度應不小於1.5。量取對照溶液10μl注入液相色譜儀,調節檢測靈敏度,使主成分色譜峰的峰高約為滿量程的10%,再精密量取供試品溶液10μl,注入液相色譜儀,記錄色譜圖。供試品溶液中拉米夫定對映體峰面積不得大於對照溶液主峰面積(0.3%)。
殘留溶劑-甲醇、乙醇、異丙醇、乙酸乙酯、乙酸異丙酯、二氯甲烷、三乙胺、四氫呋喃與N,N-二甲基甲醯胺
取2-戊酮0.2ml,置100ml量瓶中,用二甲亞碸-水(1:1)稀釋至刻度,搖勻,作為內標貯備液,精密量取20ml,置200ml量瓶中,用二甲亞碸-水(1:1)稀釋至刻度,搖勻,作為內標溶液;精密稱取甲醇300mg、無水乙醇500mg、異丙醇500mg、二氯甲烷60mg、三乙胺100mg、N,N-二甲基甲醯胺88mg、乙酸乙酯500mg、乙酸異丙酯500mg和四氫呋喃72mg,置同一200ml量瓶中,用二甲亞碸-水(1:1)稀釋至刻度,搖勻,作為對照品貯備液,精密量取5ml,置50ml量瓶中,精密加入內標貯備液5ml,用二甲亞碸-水(1:1)稀釋至刻度,搖勻,作為對照品溶液;取本品約0.5g,精密稱定,精密加入內標溶液10ml,振搖使溶解,作為供試品溶液。照殘留溶劑測定法(2010年版藥典二部附錄ⅧP第三法)測定,採用6%氰丙基苯基-94%甲基聚矽氧烷毛細管色譜柱(如HP-624,105m×0.53mm×3μm),進樣口溫度為150℃,分流比為10:1,初始柱溫為40℃,保持5分鐘,然後以每分鐘5℃的升溫速率升至100℃,再以每分鐘10℃的升溫速率升至200℃,維持5分鐘,載氣流速為每分鐘5ml,檢測器溫度為250℃。精密量取供試品溶液與對照品溶液各1μl,分別注入氣相色譜儀,記錄色譜圖,按內標法以峰面積比值計算,三乙胺不得過0.032%,其他均應符合規定。
乙醚、正己烷與甲苯
精密稱取乙醚500mg、正己烷29mg和甲苯89mg,置同一100ml量瓶中,用N,N-二甲基乙醯胺稀釋至刻度,搖勻,作為對照品貯備液,精密量取5ml,置50ml量瓶中,用N,N-二甲基乙醯胺稀釋至刻度,搖勻,精密量取5ml,置頂空瓶中,作為對照品溶液;另取本品約0.5g,精密稱定,置頂空瓶中,精密加入N,N-二甲基乙醯胺5ml,搖勻,作為供試品溶液。照殘留溶劑測定法(2010年版藥典二部附錄ⅧP第二法)測定,採用6%氰丙基苯基-94%甲基聚矽氧烷毛細管色譜柱(如HP-624,75m×0.53mm×3μm),進樣口溫度為200℃,分流比為3:1,初始柱溫為40℃,保持5分鐘,然後以每分鐘10℃的升溫速率升至200℃,保持5分鐘,載氣流速為每分鐘5ml,檢測器溫度為250℃,頂空瓶平衡溫度為90℃,平衡時間為30分鐘。取供試品溶液和對照品溶液分別頂空進樣,記錄色譜圖,按外標法以峰面積計算,均應符合規定。
水分
取本品,照水分測定法(2010年版藥典二部附錄ⅧM第一法A)測定,含水分不得過0.2%。
熾灼殘渣
取本品1.0g,依法檢查(2010年版藥典二部附錄ⅧN),遺留殘渣不得過0.1%。
重金屬
取熾灼殘渣項下遺留的殘渣,依法檢查(2010年版藥典二部附錄ⅧH第二法),含重金屬不得過百萬分之二十。
含量測定
照高效液相色譜法(2010年版藥典二部附錄ⅤD)測定。
色譜條件與系統適用性試驗
用十八烷基矽烷鍵合矽膠為填充劑(ZorbaxXDB-C18,250mm×4.6mm,5μm,或效能相當的色譜柱);以0.025mol/L醋酸銨溶液(取醋酸銨1.9g,加水900ml使溶解,用冰醋酸調節pH值至3.8,用水稀釋至1000ml)-甲醇(95:5)為流動相;檢測波長為277nm;柱溫為35℃。取胞嘧啶對照品和尿嘧啶對照品各適量,加流動相溶解並稀釋製成每1ml中分別含10μg的溶液,作為溶液(1)。另取拉米夫定分離度混合物B對照品(包含拉米夫定與雜質Ⅱ)5mg,置10ml量瓶中,加流動相2ml,振搖使溶解,再精密加入溶液(1)1ml,用流動相稀釋至刻度,搖勻,作為系統適用性溶液。量取10μl,注入液相色譜儀,記錄色譜圖。胞嘧啶、尿嘧啶、雜質Ⅱ和拉米夫定各峰之間的分離度均應符合要求。
測定法
取本品適量,精密稱定,加流動相溶解並定量稀釋製成每1ml中約含0.25mg的溶液,精密量取10μl,注入液相色譜儀,記錄色譜圖;另取拉米夫定對照品,同法測定。按外標法以峰面積計算,結果減去拉米夫定對映體的含量,即得。
藥理毒理
藥理
拉米夫定是核苷類抗病毒藥,對體外及實驗性感染動物體內的B型肝炎病毒(HBV)有較強的抑制作用。拉米夫定可在HBV感染細胞和正常細胞內代謝生成拉米夫定三磷酸鹽,它是拉米夫定的活性形式,既是HBV聚合酶的抑制劑,亦是此聚合酶的底物。拉米夫定三磷酸鹽摻入到病毒DNA鏈中,阻斷病毒DNA的合成。拉米夫定三磷酸鹽不干擾正常細胞脫氧核苷的代謝,它對哺乳動物DNA聚合酶α和β的抑制作用微弱,對哺乳動物細胞DNA含量幾乎無影響。拉米夫定對線粒體的結構、DNA含量及功能無明顯的毒性。對大多數B型肝炎患者的血清HBVDNA檢測結果表明,拉米夫定能迅速抑制HBV複製,其抑制作用持續於整個治療過程。同時使血清轉氨酶降至正常,長期套用可顯著改善肝臟壞死炎症性改變並減輕或阻止肝臟纖維化的進展。
毒理
遺傳毒性
拉米夫定在微生物致突變試驗和體外細胞轉化實驗未顯示致突變活性,但在體外培養人淋巴細胞和小鼠淋巴瘤實驗中顯示出其微弱的致突變活性。大鼠經口給予拉米夫定2000mg/kg(血藥濃度為慢性B型肝炎患者推薦臨床劑量的60-70倍),未見明顯的遺傳毒性。
生殖毒性
大鼠經口給予拉米夫定4000mg/kg/天(血藥濃度為人臨床血藥濃度的80-120倍),其生育力和斷奶後仔代的存活、生長、發育未受明顯影響。
大鼠和家兔分別經口給予拉米夫定4000和1000mg/kg/天(血藥濃度約為人臨床推薦劑量血藥濃度的60倍),均未表現出明顯的致畸作用。當家兔血藥濃度與人臨床推薦劑量的血藥濃度相近時,出現早期胚胎死亡率升高。但大鼠血藥濃度達到相當於人臨床推薦劑量血藥濃度的60倍時,未見此類現象發生。對妊娠大鼠和家兔的研究結果顯示,拉米夫定可以穿過胎盤進入胎仔體內。尚無拉米夫定用於妊娠婦女的充分和嚴格對照的臨床研究資料。
哺乳期大鼠乳汁中拉米夫定濃度和其在血漿中的濃度相近。
致癌性:
大鼠和小鼠的長期致癌試驗結果顯示,當暴露水平達到人臨床暴露水平的34倍(小鼠)和200倍(大鼠)時未表現出明顯的致癌性。[5]
藥動學
拉米夫定口服後吸收良好,成人口服拉米夫定0.1g約1hr左右達血藥峰濃度Cmax1.1-1.5μg/mL,生物利用度為80-85%。拉米夫定與食物同時服用,可使Tmax延遲0.25-2.5hr,Cmax下降10-40%,但生物利用度不變。靜脈給藥研究結果表明拉米夫定平均分布容量為1.3L/Kg,平均系統清除率為0.3L/h/kg,拉米夫定主要(>70%)經有機陽離子轉運系統經腎清除,清除半衰期為5-7hr。在治療劑量範圍內,拉米夫定的藥物代謝動力學呈線性關係,血漿蛋白結合率低。體外研究顯示與血清白蛋白結合率<16-36%。拉米夫定可通過血腦屏障進入腦脊液。拉米夫定主要以藥物原型經腎臟排泄,腎臟排泄約占總清除的70%左右,僅5-10%被代謝成反式硫氧化物的衍生物。患者腎功能不全會影響拉米夫定的排泄,對肌酐清除率<30mL/分的患者,不建議使用本品。肝臟損害不影響拉米夫定的藥物代謝過程,對於因年齡增大而腎臟排泄功能下降的老年患者,拉米夫定代謝無顯著變化,只有在肌酐清除率<30mL/分時,才有影響。
適應證
B肝、B型肝炎病毒複製的慢性B型肝炎。
[病人的選擇]1.適合治療對象慢性B型肝炎;按全國病毒性肝炎防治方案,確診為慢性B型肝炎,性別不限,年齡16歲或以上,並且符合下列標準。·HBeAg陽性,HBVDNA陽性(HBVDNA陽性系指斑點雜交法,不是PCR法陽性,有條件者可作HBVDNA定量測定。沒有條件檢測HBVDNA的地方,可以HBeAg陽性為準)。·HBeAg陰性,抗-HBe陽性,HBVDNA陽性者,考慮有前C區變異情況也適於治療。·ALT高於正常,膽紅素低於50μmol/L(3.0mg/dL)。2.不適應治療對象·自身免疫性肝病。·遺傳性肝病:如肝豆狀核變性、Wilson病、血色病、α抗胰蛋白酶缺乏症等。·骨髓抑制:血紅蛋白<10g/L、白細胞<4x109/L、血小板<80x109/L(迄今為止,在臨床研究中並未發現拉米夫定有骨髓抑制作用。對於有骨髓抑制傾向的患者嚴格遵照醫囑)。·有明顯心、腦、神經、精神病和不穩定糖尿病,妊娠婦女。
用法用量
本品應在對慢性B型肝炎治療有經驗的醫生指導下使用,推薦劑量為每日一次,每次100mg,飯前或飯後服用均可。
療程
對於HBeAg陽性的病人,根據已有的研究資料,建議套用本品治療至少一年,且在治療後發生HBeAg血清轉換(即HBeAg轉陰、HBeAb陽性),HBVDNA轉陰,ALT正常,經過連續2次至少間隔3個月檢測確認療效鞏固,可考慮終止治療。
對於HBeAg陰性的病人,尚未確定合適的療程,在發生HBsAg血清轉換或治療無效(HBVDNA水平或ALT水平仍持續升高)者,可以考慮終止治療。
對於考慮出現YMDD變異的病人,如果其HBVDNA和ALT水平仍低於治療前,可在密切觀察下繼續用藥,並必要時加強支持治療。如果其HBVDNA和ALT持續在治療前水平以上,應加強隨訪,在密切監察下由醫師視具體病情採取適宜的療法。如果經過2次至少間隔3個月檢測確認HBeAg血清轉換,HBVDNA轉陰,可考慮終止治療。對於合併肝功能失代償或肝硬化的病人,不宜輕易停藥,並應加強對症保肝治療。
如果治療期間HBVDNA和ALT仍持續在治療前水平以上,治療前HBeAg陽性的病人未出現HBeAg血清轉換,提示治療無效,可考慮終止治療。對於有肝臟組織學檢查等其它臨床指征顯示病情進展合併肝功能失代償或肝硬化的病人,不宜輕易停藥,並應加強對症保肝治療。
如果終止拉米夫定治療,在停藥後至少4個月內,醫生應對病人進行密切隨訪觀察(隨訪頻率根據病人情況而定),定期檢測ALT和膽紅素水平,HBVDNA和HBeAg情況,以防肝炎復發。4個月後,可根據臨床需要繼續隨訪病人。
腎功能損傷者:
由於腎清除功能下降,中度至嚴重腎功能損害者服用本品後,血清拉米夫定濃度(藥時曲線下面積AUC)有所升高。因此對於血清肌酐清除率<50ml/min的慢性B型肝炎病人,應降低本品的用藥劑量。按下表所示做劑量調整。
肌酐清除率(毫升/分鐘)首劑量日維持劑量
30~50之間20毫升(100毫克)10毫升(50毫克)
15~30之間20毫升(100毫克)5毫升(25毫克)
5~15之間7毫升(35毫克)3毫升(15毫克)
5以下7毫升(35毫克)2毫升(10毫克)
肝功能損傷者:
對有嚴重肝功能損傷者,包括晚期肝病等待接受肝移植患者的研究數據表明,除非患者合併腎功能損害,否則單純肝功能不全不會對拉米夫定的藥代動力學有顯著影響。藥代動力學研究結果提示,對有中度或重度肝臟損害的患者不必調整用藥劑量。
不良反應

在警告和注意事項中也描述了在使用拉米夫定時報告的多種嚴重不良事件(乳酸酸中毒和伴有脂肪變性的嚴重肝臟腫大,B型肝炎的治療後加重,胰腺炎,與藥物敏感性下降和治療反應減弱相關的病毒突變的出現)。
在慢性B型肝炎病人中進行的臨床研究顯示,多數患者對拉米夫定有良好的耐受性。不良事件的發生率在拉米夫定組和安慰劑組病人中相似。詳見下表。最常見的不良事件為不適和乏力,呼吸道感染、頭痛、腹部不適和疼痛、噁心、嘔吐和腹瀉。在中國進行的2200例IV期臨床研究中還觀察到以下不良反應:口乾1例,全身猩紅熱樣皮疹1例,磷酸肌酸活性酶和血小板降低1例,重症肝炎住院1例。
在臨床活動中的觀察:在拉米夫定獲準在臨床使用期間發現了下列事件。由於這些事件來自一組樣本量不詳的人群的自願報告,因此,不能對發生率做出估計。之所以收錄這些事件,是因為這些事件的嚴重性、報告頻率、可能與拉米夫定存在因果關係或所有這些因素的綜合結果。
消化系統:胃炎;內分泌和代謝:高血糖;全身:無力;血液和淋巴系統:貧血,純紅細胞再生障礙,淋巴結病,脾腫大。
肝臟和胰腺:乳酸酸中毒和脂肪變性,胰腺炎,治療結束後肝炎加重(參見警告和注意事項);過敏:過敏反應,風疹;肌肉骨骼:橫紋肌溶解;
神經系統:感覺異常,外周神經病變;呼吸系統:呼吸音異常/哮鳴。
皮膚:脫髮,瘙癢,皮疹。
禁忌
對拉米夫定或製劑中其他任何成份過敏者禁用。
注意事項
1.應提請病人注意,拉米夫定不是一種可以根治B型肝炎的藥物。病人必須在有B肝治療經驗的專科醫生指導下用藥,不能自行停藥,並需在治療中進行定期監測。至少應每3個月測一次ALT水平,每6個月測一次HBVDNA和HBeAg。
2.HBsAg陽性但ALT水平正常的病人,即使HBeAg和/或HBVDNA陽性,也不宜開始拉米夫定治療,應定期隨訪觀察,根據病情變化而再考慮。
3.隨拉米夫定治療時間的延長,在部分病人中可檢測到B型肝炎病毒的YMDD變異株,這種變異株對拉米夫定的敏感性下降(參見[臨床研究部分)。如果病人的臨床情況穩定,HBVDNA和ALT水平仍低於治療前,可繼續治療並密切觀察。有少數病人在出現YMDD變異後,由於拉米夫定的作用降低,,可表現為肝炎復發,可出現HBVDNA和ALT水平回升到治療前水平或以上。一些有YMDD變異的病人,特別是在已伴有肝功能失代償或肝硬化的病人,有罕見報告病情進展導致嚴重後果甚至病例死亡,由於在這種情況下停用拉米夫定也可能導致病情進展,因此對於在使用拉米夫定治療過程中出現肝功能失代償或肝硬化的病人,不宜隨意停用拉米夫定。所以,如果疑及出現了YMDD變異,應加強臨床和實驗室監測可能有助於做出治療決策。
4.到目前為止,尚無拉米夫定治療B型肝炎合併丁型肝炎或C型肝炎的長期療效資料。拉米夫定治療HBeAg陰性的病人,或同時接受免疫抑制劑治療,包括腫瘤化療的病人的資料有限。
5.如果HBeAg陽性的病人在血清轉換前停用本品,或者因治療效果不佳而停藥者,一些病人有可能出現肝炎加重,主要表現為HBVDNA重新出現及血清ALT升高。
6.如果停止拉米夫定治療(參見用法用量),應對病人的臨床情況和血清肝功能指標(ALT和膽紅素水平)進行定期監測至少4個月,之後根據臨床需要進行隨訪。對於在停止治療後出現肝炎復發的病人重新開始拉米夫定治療的資料尚不充分。
7.對於有接受器官移植或晚期肝病如失代償性肝硬化的病人,病毒複製的風險更大,預後較差。該組病人中的安全性和療效尚未確立。目前尚無足夠的臨床研究資料用以批准拉米夫定用於接受器官移植或晚期肝病如失代償性肝硬化病人的治療。據國外有關臨床研究資料,合理套用拉米夫定可提高肝功能失代償患者的近期生存率,在這些病人中,不宜停用拉米夫定。但作為抗病毒藥物,拉米夫定不能逆轉肝臟結構終末期的改變及其併發症,因此對這些病人還應考慮其它(包括肝移植的)更有效的治療。對於有HIV並發感染的患者,如果正在接受或打算接受拉米夫定或拉米夫定-齊多夫定合併治療,應維持拉米夫定用於HIV感染的推薦劑量(通常每次150毫克,每日兩次給藥,同時與其它抗逆轉錄病毒類藥物合用)。對於並發HIV感染,但不需要抗逆轉錄病毒治療的患者,如單用拉米夫定治療慢性B肝,有出現HIV突變的可能。
8.目前尚無本品用於孕婦的資料,故仍應對新生兒進行常規的B型肝炎免疫接種。
9.對駕駛和機械操作能力的影響:目前還沒有關於拉米夫定對駕駛或操作機械能力影響的研究。另外,對藥物的藥理學研究結果也不能準確預測拉米夫定對這些活動有不良影響。
警告
乳酸性酸中毒/伴脂肪變性的嚴重腫大:在高劑量核苷類藥物聯合治療HIV感染病人的過程中,有報告出現乳酸性酸中毒,包括致死性病例,通常合併嚴重的肝腫大和肝臟脂肪變性。在B型肝炎合併失代償肝病的病人中,這類事件偶有報告,一旦發生了提示有乳酸性酸中毒的臨床表現和實驗室檢查結果應中止治療。
肝炎的治療結束後惡化:在停止拉米夫定治療後已經發生了肝炎惡化的臨床表現和實驗室檢查證據(除了在停止治療後經常觀察到的HBVDNA重新出現之外,主要通過血清ALT升高來檢測這些證據。治療1年後的病人停藥後觀察16周,ALT升高的發生率見下表)。儘管大多數事件似乎是自限性的,但已有報告在一些病例中發生死亡。尚不清楚是否與終止拉米夫定治療之間存在因果關係。在停止治療後,必須通過臨床隨訪和實驗室隨訪對病人進行密切監測至少幾個月。尚無充分的證據能夠確定,重新開始治療是否能改變治療後肝炎惡化的病程。
胰腺炎:在接受本品治療的愛滋病毒(HIV)感染的病人中,有關於胰腺炎和周圍神經系統疾病(或感覺異常)的報導。
孕婦及哺乳期婦女用藥
妊娠
本品對妊娠婦女的安全性尚未確立。對動物的生殖研究表明它沒有致畸性,對雌性和雄性的生殖能力也沒有影響。當給妊娠家兔服用相當於人類治療劑量的藥物時,可增加早期胚胎死亡的機會。拉米夫定可通過被動轉運穿過胎盤,新生動物體內的血清藥物濃度與母體和臍帶內的相似。
目前尚無本品用於孕婦的資料,因此服藥期間不宜妊娠。
對於使用拉米夫定期間不慎懷孕的婦女必須考慮到停止拉米夫定治療後肝炎復發的可能性,是否終止妊娠,須權衡利弊與患者及其家屬商量。
哺乳
口服給藥後,拉米夫定在母乳中的濃度與血漿中的相似(範圍在1~8g/ml(4.4-34.9mol/L)),故建議正在服藥的婦女不要哺乳嬰兒。
藥物相互作用
由於本品的藥物代謝和血漿蛋白結合率低,並主要以藥物原型經腎臟清除,故與其它藥物代謝物之間的潛在相互作用的發生率很低。
拉米夫定主要是以活性有機陽離子的形式清除。在與具有相同排泄機制的藥物同時使用時,特別是當該藥物的主要清除途徑是通過有機陽離子轉運系統的主動腎臟分泌時(如三甲氧苄氨嘧啶),應考慮其相互作用。其他部分以這種機制清除的藥物(如雷尼替丁,西咪替丁),經研究表明與拉米夫定無相互作用。
主要以活性有機陰離子形式或經腎小球濾過排出的藥物與拉米夫定不會發生具有顯著臨床意義的相互作用。
拉米夫定與三甲氧苄氨嘧啶(160mg)/磺胺甲惡唑(800mg)同時服用後,可使拉米夫定的暴露量增加40%。但拉米夫定並不影響三甲氧苄氨嘧啶/磺胺甲惡唑的藥代動力學特性。所以除非患者有腎功能損傷,否則無須調整拉米夫定的用藥劑量。
當拉米夫定與齊多夫定同時服用時,可觀察到齊多夫定的Cmax有適度的增加,約28%,但系統生物利用度(藥時曲線下面積AUC)無顯著變化。齊多夫定不影響拉米夫定的藥代動力學特性(參見藥代動力學)。
同時使用拉米夫定與-干擾素,二者之間無藥代動力學的相互作用;臨床上未觀察到拉米夫定與常用的免疫抑制劑(如,環孢黴素A)之間明顯的不良相互作用。但尚未對此進行正式的研究。
同時使用拉米夫定和扎西他濱(zalcitabine)時,拉米夫定可能抑制後者在細胞內的磷酸化。因此建議,不要同時使用這兩種藥物。
藥物過量
在有限的關於人類急性服用過量藥物後果的資料中,沒有死亡發生,且患者均已康復。過量服用後未見特殊的體徵和症狀。
雖然對此尚無相關的研究,如果發生了藥物過量,要對患者進行監護,並按要求給予常規的支持性治療。因為拉米夫定可透析清除,所以當用藥過量且出現臨床症狀或體徵時,可採取連續的血液透析進行治療。
套用
拉米夫定作為抗病毒藥,用於B型肝炎病毒感染所致肝膽疾病的治療。
拉米夫定英文名稱為Lamivudine,化學名為2’3’-雙脫氧-3’-硫代胞嘧啶(2’-3’deoxy-3’-thiocytidine),又稱3-TC。在中國上市後的商品名為賀普丁。國內外隨機對照臨床試驗表明,每日口服100mg可明顯抑制HBVDNA水平,HBeAg血清學轉換率隨治療時間延長而提高,對HbeAg陽性患者治療1、2、3、4和5年後HBeAg血清轉換率分別為22%、29%、40%、47%和50%[1-3];治療前ALT水平較高者,一般HBeAg血清學轉換率也較高[56-60]。長期治療可以減輕炎症,降低肝纖維化和肝硬化的發生率[1,2]。隨機對照臨床試驗表明,本藥可降低肝功能失代償和HCC(肝細胞癌)發生率[21]。在失代償期肝硬化患者也能改善肝功能,延長生存期[61-63]。國外研究結果顯示,拉米夫定治療兒童慢性B型肝炎的療效與成人相似,安全性良好[64,65]。
對B型肝炎肝移植患者,移植前用拉米夫定;移植後,拉米夫定與HBIG聯用,可明顯降低肝移植後HBV再感染,並可減少HBIG劑量。
治療B肝
B肝病毒很難被徹底消滅。無論是干擾素還是核苷酸類似物都只能抑制B肝病毒的複製,短期治療(≤1年)停藥後,患者的HBVDNA水平都會出現大幅度反彈,這就證明了B肝治療需要“長治”才能“久安”;在做到長期治療的同時,規範用藥也不容忽視。甚至耐藥,導致疾病進展。因此,在治療期間一定要做到長期用藥、規範用藥。
療效
判斷抗病毒治療的療效要看它是否能夠減少肝硬化和肝癌的發生,4種口服抗病毒藥物在抑制B肝病毒複製和e抗原轉陰上的效果都不錯,但只有拉米夫定有超過10年的延緩疾病進展、減少肝硬化使肝癌發生的臨床數據。研究顯示拉米夫定抗病毒治療3年能夠使肝硬化的發生率降低55%,肝癌的發生率降低51%;拉米夫定10年隨訪數據證實:75%的肝纖維化患者達到了組織學改善,其中18.8%患者的肝纖維化被完全逆轉。可見,只有長期治療療效好的藥物才能使患者最大程度的獲益。患者在選擇抗病毒藥物時更需關注長期的治療效果。
副作用
因套用核苷(酸)類似物的B型肝炎患者須接受長期治療,甚至終身治療。該類藥物引起的不良反應亦受到廣泛關注。動物實驗中的致實體瘤的風險困擾著醫生和患者。而套用核苷(酸)類似物引起的不良反應的文獻報導如肌病、腎毒性、周圍神經病、乳酸酸中毒等更是關注的焦點。這些由藥物引起的副作用一旦出現卻沒有及時採取措施,很有可能危及生命。因此,高度重視口服抗病毒藥物的安全性,定期檢測CK等指標,對堅持長期治療起著積極的作用。比較4種口服抗病毒藥物,其中拉米夫定已上市十年,是用於治療慢B肝的口服抗病毒類藥物中上市最早的藥物,適用人群最廣,安全性好。
注意事項
⒈治療期間應由有經驗的肝炎專科醫生對患者的臨床情況及病毒學指標進行定期檢查。
⒉少數患者停止使用拉米夫定後,肝炎病情可能加重。因此如果停用該品,要對患者進行嚴密觀察,若肝炎惡化,應考慮重新使用該品治療。
⒊對於肌酐清除率<30毫升/分的患者,不建議使用該品。
⒋妊娠期間一般不應使用該品,除非在特殊情況下,醫生考慮使用該品對孕婦有利,妊娠最初三個月的患者不宜使用該品哺乳婦女服用該品時不必停止哺乳。除非拉米夫定對嬰兒的潛在危險超過對母親的益處。
⒌尚無資料顯示孕婦服用該品後可抑制B型肝炎病毒的母嬰傳播。故仍應對新生兒進行常規的B型肝炎免疫接種。
⒍該品治療期間不能防止病人將B型肝炎病毒通過性接觸或血源性傳播方式感染他人,故仍應採取適當防護措施。
⒎拉米夫定與具有相同排泄機制的藥物(如:甲氧苄啶)同時使用時、拉米夫定血濃度可增加40%,無臨床意義,但有腎臟功損害的患者應注意。
抑制病毒性
拉米夫定是核苷類似物,而核苷酸則是合成人體遺傳物質DNA和RNA的原料(DNA和RNA實際上就是許多核苷酸手拉手排成一長串構成的)。核苷類似物在結構上模擬核苷酸的結構,但卻不具有核苷酸的功能。因此在DNA合成過程中,核苷類似物可以摻入進去,但卻不能合成有正常功能的核酸鏈,從而使病毒的複製終止。拉米夫定模擬的是胞嘧啶,其結構與人的天然的胞嘧啶結構不同,他只能作用於病毒,而對人體沒有副作用。拉米夫定作為一種新的核苷類似物廣泛被醫患接受,是臨床套用中療效較好的、具代表性的核苷類似物。它的作用機制為抑制病毒DNA多聚酶和逆轉錄酶活性,並對病毒DNA鏈的合成和延長有競爭性抑制作用。
其他
療程,2011年新版《指南》指出:治療B肝的總療程至少應達到2年以上。並且,即使達到停藥指征鞏固治療時間越久,患者復發率越低,這與2010年新版中國B肝防治指南對慢B肝患者治療時間意見完全一致。一項關於經治患者用藥時間與復發率的調研顯示:鞏固治療時間少於1年,患者的復發率可達61.9%,反之鞏固治療時間超過1年者,患者的復發率僅為8.7%。
服用時間
拉米夫定可以長期服用。拉米夫定是上市時間最久,臨床經驗最多的抗病毒藥物。長期規範的治療可有效的減少、延緩疾病進展。《指南》指出,B肝治療的最終目標是“減少肝硬化、肝癌的發展”。而在B肝治療領域內具有里程碑意義的4006的3年研究發現,經過核苷類藥物(拉米夫定)治療32個月後,可以把疾病進展減少55%,肝癌的發生率減少51%。拉米夫定10年隨訪結果更是發現:堅持長期口服抗病毒藥物的治療不僅可使肝纖維化得到顯著改善,甚至使得部分患者早期肝硬化得到逆轉。
長期服用的副作用
1.服用拉米夫定後,有10%的患者有短暫的澱粉酶和脂肪酶的升高。
2.長期服用後,一般是治療超過6個月以上的患者,可能會出現HBV病毒DNA聚合酶的變異(常見的稱YMDD變異)。但研究也認為,該種情況下繼續套用拉米夫定仍有臨床療效。
3.拉米夫定在所有研究過的患者人群中耐受性良好。在二期和三期臨床試驗中,沒有因總劑量增加和療程的延長而出現相關不良反應的發生率的增加。推薦閱讀恩替卡韋。
4.拉米夫定長期治療可顯著延緩HBeAg陽性慢性B肝患者疾病進展(P<0.005),減少肝硬化肝癌的發生。有學者研究觀察了拉米夫定治療HBeAg陽性慢性B肝患者5年的長期療效。研究結果顯示,拉米夫定可持續抑制病毒複製,持續維持ALT復常,HBeAg血清學轉換率隨治療時間的延長而提高,HBeAg血清學轉換持續的患者比例為80%。
5.雖然拉米夫定治療B肝的效果明顯,但採用拉米夫定治療6個月以上者可以發生B肝病毒變異。治療1年後,B肝病毒變異的發生率為10%~20%,且隨著治療時間的延長,變異出現率升高。
長期服用的不利影響
拉米夫定是核苷類抗病毒藥物,主要適用於成年慢性B肝患者的治療,可有效抑制病毒的複製,同時促進受損肝細胞的修復與再生。此藥有一定的治療效果,但不宜長期服用,主要是因為:
拉米夫定這種藥通常需長期服用,療程較長,但是很多患者反應,在長期服用此藥的過程中會有很多不良問題出現,比如會讓患者出現一些不良的症狀,如頭暈、頭痛、乏力、噁心、嘔吐、消化不良等等,其實這些不良症狀並不是患者們最在意的,因為除此之外,長期服用此藥會導致耐藥性發生,而且不易停藥,因為一旦停藥不當,很可能會導致病情再次反彈,嚴重影響前期的治療效果,所以有不少患者認為此藥不宜長期服用。
停藥標準
拉米夫定長期治療後,可使HBV多聚酶基因發生多位點變異,出現耐藥性,突然停藥後,病毒的變異株和剩餘的野生株可能重新活躍,加速複製,所以部分患者會出現停藥後的“反跳”現象,HBV-DNA、HBeAg重新轉陽,轉氨酶升高,個別患者甚至會出現黃疸和肝功能失代償,病情加重,因而服用拉米夫定者不宜突然停藥。
停服拉米夫定確實很有講究,也確實不能隨意停用。專家們對停用拉米夫定是這樣認識的:1、拉米夫定用藥周期較長,至少在18個月以上。
⒉慢性B肝患者服用拉米夫定1年後,HBeAg轉為抗-HBe?HBV-DNA轉陰,肝功能正常,症狀已消失,還要堅持服用半年,如無變化才考慮停藥。
⒊慢性B肝病人在治療前HBeAg為陰性,但是,HBV-DNA為陽性,拉米夫定必須服用2年,HBVDNA轉陰後可考慮停藥。
⒋慢性B肝病人在服用拉米夫定治療過程中,如果轉氨酶(ALT)明顯升高,達到500單位以上,甚至發現黃疸,此時不可輕易停藥,應當聯合其它抗病毒藥(請諮詢線上醫生),同時聯用大劑量胸腺肽和保肝藥、對症治療,直到病情穩定半年後才考慮停藥。
⒌服用拉米夫定治療6個月,轉氨酶(ALT)升高<500單位,HBVDNA水平較治療前高,並持續不降,可考慮停藥,或改用其他抗B肝病毒藥(如博爾泰力)治療。
⒍治療過程中如果發現B肝病毒YMDD變異,轉氨酶(ALT)輕度升高,此時一邊觀察,一邊繼續服藥,不必急於停藥,病人仍可受益。
拉米夫定停藥後是否會復發,這要根據治療後體內病毒的情況而定。
⒈未完全清除B肝病毒,停藥後易復發。為了防止停藥後復發,大家認為延長療程或可減少復發,因此療程應為1~2年或更長。如復發,再以拉米夫定治療,往往仍有效。公認,停藥應在e抗原/e抗體血清轉陰後繼續用藥3~6個月,經複查仍為血清轉陰,才可停藥,總療程不少於1年。
⒉若B肝病毒變異,產生耐藥性。變異的表現為B肝病毒DNA由陰性又轉為陽性,血清ALT又升高,這種變異發生的時間早者用藥半年,遲者幾年以後。有報導用藥1年中耐藥性的發生率為10%~25%,隨著用藥時間的延長,耐藥者也增多。若服用拉米夫定6個月以上,ALT升高,B肝病毒DNA陽性或滴度增加,應考慮B肝病毒有變異的可能。但如果ALT高於正常值的5倍以上,且有肝功能惡化,應停用拉米夫定,同時還應尋找能使肝病加劇的其他原因,如酗酒、吸毒、服用其他藥物等,還有當心有否其他肝炎病毒感染,或並發肝細胞癌等。如確係B肝病毒變異所致,可換用其他抗病毒藥(如泛昔洛韋),並加強護肝治療。
如果復發,處理方法為:
⑴用藥前詳細介紹該藥特點和注意事項,在患者承諾遵守醫囑的前提下套用拉米夫定。
⑵用藥過程中定期複查肝功能和病毒複製指標,開始服藥後15日複查1次肝功能,肝功正常後可2-4個月左右複查1次。HBV-DNA1-2個月查1次,HBv-DNA轉陰後可3個月複查1次。服藥後4個月複查HBeAg。一般來說,HBV-DNA和HBeAg轉陰後再鞏固3個月方可停約。
⑶在病情好轉後經常督促患者按時服藥,及時消除患者道聽途說的所謂“新藥”、“特效藥”的迷惑,防止患者自行停用拉米夫定改用其他藥品,引起病情復發。
⑷在療程結束時套用干擾素等藥序貫治療,或用苦參素等抗病毒藥聯合治療。也可在用拉米夫定的同時配用其他抗病毒藥,或配合中藥辨證施治,有利於防止或減少復發。
⑸長期套用拉米夫定後少數患者HBv變異,可以考慮改用思替卡書或阿德福韋,據報導對已經產生變異的耐藥病毒,二者仍具有良好作用。

