拉普拉斯中心極限定理
拉普拉斯中心極限定理
拉普拉斯中心極限定理
拉普拉斯中心極限定理
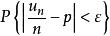
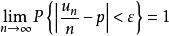
拉普拉斯中心極限定理大數定律只斷言 當 時趨於0,也即 接近於 ,而拉普拉斯中心極限定理則給出 的漸近分布的更精確表述。
拉普拉斯中心極限定理
拉普拉斯中心極限定理
拉普拉斯中心極限定理拉普拉斯中心極限定理給出了兩個結果。第一個結果提供了 的漸近表達式,這類結果一般稱為局部極限定理。第二個結果給出了標準化隨機變數 的漸近分布(其中 ),稱為積分極限定理,它是獨立同分布中心極限定理的特例。
定理
拉普拉斯中心極限定理
拉普拉斯中心極限定理
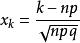
拉普拉斯中心極限定理若 是n次伯努利試驗中事件A出現的次數, , ,則對任意有限區間[a,b]:
拉普拉斯中心極限定理
拉普拉斯中心極限定理(1)當 及 時,一致地有
拉普拉斯中心極限定理
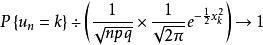
拉普拉斯中心極限定理其中 ,稱為局部極限定理。
拉普拉斯中心極限定理(2)當 時,一致地有
拉普拉斯中心極限定理稱為積分極限定理。
含義
拉普拉斯中心極限定理
拉普拉斯中心極限定理
拉普拉斯中心極限定理
拉普拉斯中心極限定理
拉普拉斯中心極限定理
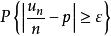
拉普拉斯中心極限定理因為為n次伯努利試驗中事件A發生的次數,故,上述積分極限定理說明近似服從標準常態分配,或者說,近似服從常態分配。
套用
拉普拉斯中心極限定理雖然是作為二項分布的近似而推導出來的,但是它的重要性遠遠超出數值計算的範圍。該定理的證明參見李賢平《機率論基礎》289-292頁 。
用頻率估計機率時的計算問題
拉普拉斯中心極限定理
拉普拉斯中心極限定理
拉普拉斯中心極限定理
拉普拉斯中心極限定理
拉普拉斯中心極限定理
拉普拉斯中心極限定理
拉普拉斯中心極限定理
拉普拉斯中心極限定理
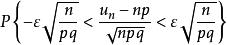
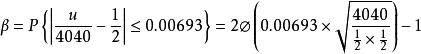
拉普拉斯中心極限定理由積分極限定理 = ,其中為標準常態分配的分布函式,顯然,對任意的,當時有,即。
例:蒲豐試驗中擲硬幣4040次,出正面2048次,試計算當重複蒲豐試驗時,正面出現的頻率與機率之差的絕對值不大於蒲豐試驗中所發生的偏離的機率。
拉普拉斯中心極限定理
拉普拉斯中心極限定理
拉普拉斯中心極限定理解:蒲豐投幣中頻率 與機率 的偏離為 ,故所求機率為
拉普拉斯中心極限定理
拉普拉斯中心極限定理