敘述
拉克斯-米爾格拉姆定理
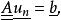
拉克斯-米爾格拉姆定理設是實希爾伯特空間,其內積記作,導出範數,是雙線性型,使得在上連續:,在上強制(有稱為 -橢圓性): ,L是上的連續線性型。
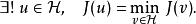
那么存在唯一的,使得對所有都有:
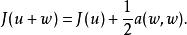
拉克斯-米爾格拉姆定理而且如果a是對稱的,那么u是中唯一的元素,使得以下泛函取最小值,對所有,即:
拉克斯-米爾格拉姆定理證明
一般情形
套用里斯表示定理到連續線性型上,可知存在唯一的,使得對任意成立。
對所有,映射是上連續線性型,因此同樣可知存在唯一的,使得對任意成立。易知運算元是一個上連續線性自同態。由此可把表示成如下等價形式:
拉克斯-米爾格拉姆定理要證明此命題,只要證得A是從到的 雙射。首先證明它是 單射,再證它是 滿射。
從a的強制性,使用柯西-施瓦茨不等式,得到對任何
拉克斯-米爾格拉姆定理從而知對任何
拉克斯-米爾格拉姆定理這證明了A是單射。
要證明滿射,考慮運算元A在內的像。
不等式(*)表示,如是柯西序列,那么是內的柯西序列。由的完備性,收斂至。因A連續,得出收斂至。
拉克斯-米爾格拉姆定理因此為中的閉子空間,由投影定理可知。再設元素,從定義有,因此,故得。所以為,證得A是滿射。
自同態A是雙射,故在記憶體在唯一的u使得Au=f,且可以由得出。
附註
不用求出u,有其範數的上界估計
拉克斯-米爾格拉姆定理其中表示對偶空間的範數。
對稱情形
如果雙線性型a對稱,那么對所有有:
拉克斯-米爾格拉姆定理因u是命題(1)的唯一解,有
拉克斯-米爾格拉姆定理從a的強制性有:
拉克斯-米爾格拉姆定理
拉克斯-米爾格拉姆定理
拉克斯-米爾格拉姆定理
拉克斯-米爾格拉姆定理取 ,從上式有 對任意 成立。
套用
拉克斯-米爾格拉姆定理
拉克斯-米爾格拉姆定理
拉克斯-米爾格拉姆定理
拉克斯-米爾格拉姆定理這定理是有限元法的基礎。實際上,若不在 內求u,而是在 的有限n維子空間 內求 ,那么
拉克斯-米爾格拉姆定理如果a對稱,以a為內積, 是u的投影。
拉克斯-米爾格拉姆定理
拉克斯-米爾格拉姆定理給出 的基 ,上述問題化為求解線性方程組:
拉克斯-米爾格拉姆定理
拉克斯-米爾格拉姆定理
拉克斯-米爾格拉姆定理其中 , 。
