抽樣信號
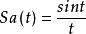
抽樣信號抽樣信號是指正弦函式和自變數之比構成的函式,其表達式為 。抽樣函式是一個偶函式,在t的正、負兩方向振幅都逐漸衰減,當t = 時,函式值等於零。
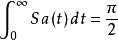
Sa(t)函式還具有以下性質:
抽樣信號
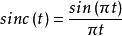
抽樣信號與Sa(t)函式類似的是sinc(t)函式,它的表達式為:
抽樣信號有些書中將兩種符號通用,即Sa(t)也可用sinc(t)表示。

抽樣信號也被稱為抽樣函式或Sa(t)函式,是指sin與之比構成的函式。其定義為:
抽樣信號
抽樣信號抽樣信號是指正弦函式和自變數之比構成的函式,其表達式為 。抽樣函式是一個偶函式,在t的正、負兩方向振幅都逐漸衰減,當t = 時,函式值等於零。
Sa(t)函式還具有以下性質:
抽樣信號
抽樣信號與Sa(t)函式類似的是sinc(t)函式,它的表達式為:
抽樣信號有些書中將兩種符號通用,即Sa(t)也可用sinc(t)表示。
信號抽樣在涉及連續時間信號時,就必須先以適當的頻度從中抽取其在各時刻的數值,形成相應的離散時間信號,然後進行處理,抽樣與保持常常結合在一起,稱為信號的抽樣與保持。
……………………..(15)第二章 比值為有理數的抽樣率轉換2.1 引言...的方法實現比值為有理數的抽樣率轉換……… ………..(21)2.3 用FIR時變系統實現抽樣率轉換的時域分析………………………………..(25...
抽樣定理是通信理論中的一個重要定理,是模擬信號數位化的理論依據,包括時域抽樣定理和頻域抽樣定理兩部分。
簡介 定理內容 意義 分類 提示在信息通信領域,信號的處理往往需要預先將時間連續、取值連續的模擬信號轉換為時間離散、抽樣值離散的數位訊號。而信號的抽樣就是用有著一定時間間隔的抽樣脈衝信...
定義 相關 套用 舉例現在實際系統中,經常要求一個數字系統能工作在多採樣率狀態,例如:在數位電視系統中,圖像採集系統一般按 4:4:4 標準或 4:2:2 標準採集數位電視信...
定義 多抽樣率信號處理 多抽樣率信號處理的方法在數點陣圖像處理領域中,色度抽樣是指在表示圖像時使用較亮度信息為低的解析度來表示色彩(色度)信息。
簡介 分類連續時間信號是指時間自變數在其定義的範圍內,除若干不連續點以外均是連續的,且信號幅值在自變數的連續值上都有定義的信號。信號幅值可以是連續的也可以是離散的...
定義 特點及分類 典型信號 基本運算抽樣正弦信號的方法,闡述離散信號和離散系統的特性;由FIR濾波器引出... 相移和時移 2.4 正弦信號的抽樣和重構 2.5 復指數和復振幅... 抽樣和混疊 4.1 抽樣 4.1.1 抽樣正弦信號...
基本信息 內容簡介 作者簡介 目錄