定義
連續時間信號
連續時間信號信號的波形特徵可用兩個物理量來表示,即時間和幅值。將時間自變數 在除個別不連續點外的其他定義範圍內,任意時刻幅值都有定義的信號,稱為連續時間信號,一般用函式 表示 。由於“連續”是相對時間而言的,故連續時間信號的幅值可以是連續的,也可以是離散的。幅值連續是指在某一取值範圍內,信號可以取無限多個值。
特點及分類
連續時間信號
連續時間信號的特點是:除個別不連續點外,信號在所討論的時間段內的任意時間點都有確定的函式值(幅值),該函式值可以是連續的也可以是離散化的。
連續時間信號若信號的時間與幅值都是連續的,則稱此類信號為模擬信號。例如:信號 的時間和幅值都是連續的,即為模擬信號。如果信號的時間連續,但是信號的幅值離散,則稱此類信號為量化信號 。
離散時間信號
與連續時間信號相對的是離散時間信號。離散時間信號就是信號只在離散時間瞬間才有定義,簡稱離散信號,離散信號也常稱為序列。此處"離散"是指在某些不連續的時間瞬間給出函式值,在其它時間沒有定義。離散信號的幅值可以是連續的,也可以是離散的。若離散信號的幅值是連續的,則也可稱此類信號為抽樣信號或取樣信號。若離散信號的取值是離散的,則可稱此類信號為數位訊號 。
所以,有兩種連續信號:一種是取值也是連續的,一種是取值是離散的;同理,離散信號也有兩種:一種是取值連續——抽樣信號,一種是取值離散——數位訊號。
周期信號和非周期信號
連續時間信號
連續時間信號
連續時間信號
連續時間信號
連續時間信號若信號按照一定的時間間隔周而復始,並且無始無終,則稱此類信號為周期信號。他們的表達式可以寫作
,(任意整數)其中稱為的周期,而滿足關係式的最小值則稱為是信號的基本周期。
若信號在時間上不具有周而復始的特性,即周期信號的周期趨於無限大,則稱此類信號為非周期信號。
連續時間信號和離散時間信號與周期信號和非周期信號彼此包含,即連續時間信號和離散時間信號中有周期信號和非周期信號,同理,周期信號和非周期信號中也包含連續時間信號和離散時間信號 。
典型信號
數學中很多常用的信號都是連續時間信號,下面主要介紹幾種典型的連續時間信號。
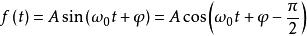
正弦信號
連續時間信號兩個振幅和初相位均不同的同頻率正弦信號相加後,其結果仍是原頻率的正弦信號。
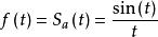
抽樣信號
連續時間信號
連續時間信號
連續時間信號
連續時間信號
連續時間信號是關於 的偶函式,是一個以 為周期,且具有 的單調衰減幅值的振盪信號 。
單位階躍信號
連續時間信號
連續時間信號
連續時間信號
連續時間信號
連續時間信號
連續時間信號在躍變點 處,函式值未定義。若單位階躍信號的躍變點在 處,則稱其為延時單位階躍信號,其波形為 在時間軸 上向右平移 。
階躍信號可以表示任意的方波脈衝信號 。
連續時間信號單位衝激信號
連續時間信號單位衝擊信號的物理意義:持續時間無窮小,瞬間幅值無窮大,涵蓋面積恆為1 。衝擊信號與階躍信號的關係是:
連續時間信號衝擊偶信號是對單位衝擊信號求導所得,即
連續時間信號指數信號
指數信號根據其表達式中是否存在複數,可以將信號分為實指數信號和復指數信號。
1、實指數信號
連續時間信號
連續時間信號
連續時間信號
連續時間信號
連續時間信號
連續時間信號
連續時間信號若 ,則 ,即一條幅值為 且平行於時間軸 的直線,表示直流信號 。下面給出了 時實指數信號 的波形圖。
2、復指數信號
連續時間信號
連續時間信號
連續時間信號
連續時間信號
連續時間信號
連續時間信號由歐拉公式可得: 。若 ,則 變為正弦信號。下面給出了 時對應的復指數信號 的波形圖。
符號信號
連續時間信號符號信號與單位階躍信號的關係是:
連續時間信號基本運算
連續時間信號的基本運算主要有:加減法、乘法、微分、積分、時移、翻轉、尺度變換、信號分解、卷積等。
加法與乘法
連續時間信號的相加(或相乘)是指兩個信號在任意時刻函式值之和(或積)。需要注意的是:運算應在對應的時間上進行。
微分與積分
連續時間信號
連續時間信號
連續時間信號
連續時間信號信號 的微分(導數)是指信號 的函式值隨時間變化的變化率。當信號 中含有不連續點時,則 在這些不連續點上出現衝激,其強度為原函式在該點處的跳變數。
連續時間信號
連續時間信號
連續時間信號信號 的積分是指在 到 區間內的任意時刻處,信號與時間軸所包圍的面積。
時移與翻轉
連續時間信號
連續時間信號
連續時間信號
連續時間信號
連續時間信號
連續時間信號
連續時間信號
連續時間信號
連續時間信號
連續時間信號
連續時間信號
連續時間信號
連續時間信號
連續時間信號信號 時移 ( ),就是將 表達式及其定義域中所有自變數 替換為 ,從而使 表達式變為 。從信號波形上看, 的波形是將 的波形向左移動 時間; 的波形是將 的波形向右移動 時間。
連續時間信號
連續時間信號
連續時間信號
連續時間信號
連續時間信號
連續時間信號
連續時間信號
連續時間信號
連續時間信號信號 的翻轉就是將 表達式以及定義域中的所有自變數 替換為 ,從而使 的表達式變為 。從信號波形上看, 的波形與 的波形關於縱軸 呈鏡像對稱。
連續時間信號
連續時間信號翻轉信號 的時移規律與信號 恰好相反 。
尺度變換
連續時間信號
連續時間信號
連續時間信號
連續時間信號
連續時間信號
連續時間信號信號 的尺度變換就是將信號 表達式中以及定義域中的所有自變數 替換為 ,從而使 的表達式變為 。
連續時間信號
連續時間信號
連續時間信號
連續時間信號當 時, 是將 的波形沿時間軸壓縮至原來的 ;
連續時間信號
連續時間信號
連續時間信號
連續時間信號當 時, 是將 的波形沿時間軸擴展至原來的 ;
連續時間信號
連續時間信號
連續時間信號
連續時間信號當 時, 是將 的波形沿時間軸壓縮或擴展至原來的 。
信號分解
連續時間信號
連續時間信號
連續時間信號信號 的分解就是將時間信號 用若干個奇異函式之和來表示。 可以分解任意信號 。
卷積
由卷積定義可知:
連續時間信號連續時間信號的卷積步驟 :
連續時間信號
連續時間信號
連續時間信號
連續時間信號(1) 將信號 和 中的自變數 變為 ,稱為函式的自變數;
(2) 把其中一個信號翻轉、平移;
連續時間信號
連續時間信號
連續時間信號(3) 將 和 相乘,對乘後的圖形積分。

