補充說明
“英漢天文學名詞資料庫”(以下簡稱“天文名詞庫”)是由中國天文學會天文學名詞審定委員會(以下簡稱“名詞委”)編纂和維護的天文學專業名詞資料庫。該資料庫的所有權歸中國天文學會所有。
資料來源
中國天文學名詞審定委員會網站:
維基天文網站:

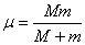
“折合質量”是天文學專有名詞。來自中國天文學名詞審定委員會審定發布的天文學專有名詞中文譯名,詞條譯名和中英文解釋數據著作權由天文學名詞委所有。
“英漢天文學名詞資料庫”(以下簡稱“天文名詞庫”)是由中國天文學會天文學名詞審定委員會(以下簡稱“名詞委”)編纂和維護的天文學專業名詞資料庫。該資料庫的所有權歸中國天文學會所有。
中國天文學名詞審定委員會網站:
維基天文網站:
有效質量(Effective mass),是用來方便引入經典力學的解決方法牛頓第二定律的一種近似。它近似認為電子受到原子核的周期性勢場(這個勢場和晶格周...
定義 與慣性質量的區別 公式表示 補充說明灰水比與混凝土強度成正比,灰水比大,混凝土強度高;灰水比小、混凝土強度低。 但砂的質量對混凝土強度有影響,砂粒的粗細對混凝土配合比計算有影響。 因此,砂...
混凝土強度及其主要影響因素 質量控制的中心環節 混凝土質量控制的幾個要點 參考資料介紹為了使廣大考生和用人單位能夠預測各大學本科生畢業後的質量,中國...填報指南》中,列出了2014年中國734所普通本科大學的本科畢業生質量...質量仍只設兩項指標:教師平均學術水平在全國大學中的名次;新生錄取分數線...
4、安全質量標準化煤礦評級強調了通風專業的重要性。 安全質量標準化煤礦的評級計分以100分為滿分。 5.礦井掘進安全質量標準化得分計算方法:
前言 掘進安全質量標準化標準及考核評級辦法 機電安全質量標準化標準及考核評級辦法中國註冊會計師協會關於印發《中國註冊會計師協會執業質量兼職檢查員...檢查工作質量,根據《會計師事務所執業質量檢查制度》,我會制定了《中國註冊會計師協會執業質量兼職檢查員管理辦法》,現予印發。 附屬檔案:中國...
方法進行研究,以提高軟體產品的質量,降低軟體開發的成本。軟體工程要求用計...的系統分析、設計、開發、測試、質量控制、經營和管理等工作。 畢業生適合到外資...方法與環境、軟體工具及集成技術、軟體自動化及自動測試技術、軟體質量控制...
簡介 專業介紹 辦學理念 合作大學建華產品榮獲由國家質量監督檢驗檢疫總局頒發的“中國名牌產品”稱號...PC樁升級為PHC樁。★ 1994年12月,建華管樁年銷售26萬米(折合...,完全保證了產品的質量穩定性。★ 1995年12月,建華管樁年銷售42萬米...
集團簡介 下屬企業 發展歷程管樁年銷售26萬米(折合混凝土6.5萬噸)。 ★ 1995年1-5月,增加新型設備,改良生產線,完全保證了產品的質量穩定性。 ★ 1995年12月,建華管樁年銷售42萬米(折合混凝土10.5萬噸...
集團簡介 企業規模 下屬企業 發展歷程 企業榮譽工程的施工質量,促進市政道路工程的質量管理工作,特制定本標準。第...等級標準第2.0.1條 市政道路工程的質量評定,分為“合格”與“優良”兩個...的平均值達到85%,則該單位工程應評為“優良”。第2.0.6條 工序的質量如不...
發布通知 作品目錄 作品附錄