簡介
投影運算元是在賦范線性空間X上具有冪等性的有界線性運算元。
設P是X上的有界線性運算元,如果P=P,則稱P為投影運算元。
當P是投影運算元時,I-P也是投影運算元,且X=PX+(I-P)X。
冪等
在數學裡,冪等有兩種主要的定義。
在某二元運算下,冪等元素是指被自己重複運算(或對於函式是為複合)的結果等於它自己的元素。例如,乘法下唯一兩個冪等實數為0和1。
某一元運算為冪等的時,其作用在任一元素兩次後會和其作用一次的結果相同。例如,高斯符號便是冪等的。一元運算的定義是二元運算定義的特例。
有界線性運算元
有界線性運算元是泛函分析中一種重要的運算元。
投影運算元
投影運算元
投影運算元
投影運算元
投影運算元
投影運算元
投影運算元
投影運算元
投影運算元
投影運算元
投影運算元
投影運算元
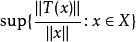
投影運算元設 是從線性賦范空間 到 的線性運算元。 如果 當存在且有限,則稱 是有界線性運算元,也就是說 將 中的每個有界集映射為 中的有界集。此處 |表示範數, 表示 中定義的範數, 表示 中定義的範數。
