理論模型
理論模型以《亞洲經濟評論》主編汪林海等為代表,汪林海提出了如下房價模型,並給出了理論推導過程 :
房價模型上式,P為城市中某套住房的價格,U為該套住房的有用性,U為城市中最差地段上的住房(稱為劣等住房)的有用性,C為最差地段上的住房的生產成本。住房的有用性,是指綜合住房的地段因素(所在地段的交通、治安、購物、環境因素)和住房本身的因素(如住房的裝修、歌劇、新舊程度等因素)後,消費者對住房的綜合評價。該公式成立的條件,是住房市場為完全競爭市場。城市中最差的地段上的住房稱為劣等住房。城市中最差地段往往在城市邊緣,從而上式中U和C往往可由城市邊緣住房的有用性和生產成本來代替。
汪林海認為,城市中,某套住房價格與該套住房的有用性成正比,與最差地段上的住房有用性成反比,與最差地段上的住房的生產成本成正比。
汪林海的推導過程為:假設越好的住房價格越高,住房之間價格之比等於有用性之比,從而有P/P=U/U,得到P=U/U*P,利用古典地租理論上的劣等地商品價格P等於劣等地生產成本C,從而劣等住房的價格P等於劣等住房生產成本C,從而把P=C代入P=U/U*P,得P=U/U*C,即上述公式。
統計模型
統計模型以Kain and Quigley(1970),Wabe (1971),Evans(1973),Anderson和Crocker (1971)、Henry M. K. Mok等(1995)、Piyush tiwari(2000)、Sibel Selim(2008)為代表。
統計模型中的典型房價模型,就是特徵價格模型(Hedonic Price Model)。Gordon F. M.等認為,以Lancaster (1966)的消費者理論和Rosen(1974)的特徵價格理論為理論基礎的特徵價格模型(Hedonic Price Model),是近幾十年來房價模型的主流模型。
特徵價格模型的思路是:住房由於具有各種滿足消費者需要的特徵,從而能按照某一價格出售(Rosen,1974),住房之間的價格差異來源於住房之間的特徵的差異(Chin T. .L.,Chau K.W., 2003),從而,可把住房的特徵作為解釋變數,把住房的價格作為被解釋變數,採用數學工具(統計學)建立房價數學模型。用計量經濟學模型來描述,就是:
房價模型上式中,P為某住房的價格,Z為住房的特徵向量(住房的交通、治安、教育、裝修、新舊程度等),ɛ為隨機誤差項。
收益模型
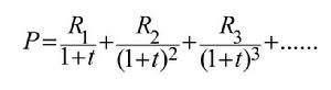
收益模型認為房價是住房預期收益的折現。收益模型為:
房價模型其中,P為房價,R,R,......,為歷年的房租,t為利息率。
對比分析
三個模型各有自身的特點,三個模型推算出來的房價,理論上是一樣的,只是推算的角度不同。
理論模型優點是具有深刻的個體經濟學和地租理論的基礎,揭示了房價形成和變動的基本規律,可用於分析預測房價變動的趨勢,但缺點是無法精確計算房價。
統計模型優點是可以在一定程度上計算出房價的實際價格,可用於房屋估價的具體操作,但其缺點,是一個統計模型的估算結果只能在一個特定城市、特定時間有效,換一個城市、換一個時間,統計模型就會失效,需要重新建立房價模型。
收益模型的優點是從財務收益角度給住房定價,思路清晰,但缺點是收益模型沒有深刻揭示房價內在機制,實際操作上也有一定難度,因為未來的房租當前很難確定。
分析房價時,最好把三種模型結合起來,這樣才能得到更深入,更準確的分析。

