數學
公式戴爾指數導自Claude Shannon的信息熵測度。設T為戴爾指數,S為Shannon的測度,則有
T = ln(N) − S
Shannon根據事件發生概率導出的其熵測度。它可以用戴爾係數解釋為自某個特定個人處隨機取得一塊錢的機率。並與其第一項,即總收入中個人所占份額相同。
可分解性
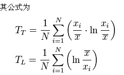
戴爾指數的一個優點是它是某個子群體中不平等的加權和。例如,美國國內的不平等就是每個州的不平等的加權和,由該州收入相對於國家總收入的比值來加權。如果人口被劃分為m個子群體,sk 為群體k 的收入比例,Tk為該子群體的戴爾指數,而 為子群體 k的平均收入,則戴爾指數為
公式另外一個被廣泛使用的不平等度量為基尼係數,該係數對於很多人來說由於基於勞倫茨曲線而非常直觀。但是它卻沒有戴爾指數來得容易分解
