定義
根據材料力學表明,任何複雜應力狀態都可以用三個主應力表示。根據這三個主應力可以按“最大切應力理論”計算最大切應力,按“相當最大正應力理論”計算最大正應力,而二者的比值表示他們的相對大小,成為應力狀態軟性係數,記為α。
應力軟性係數越大,材料越可能先進行塑性變形而後斷裂;反之,材料不發生塑性變形就斷裂的危險增大
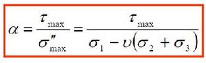
計算公式

具體舉例
1.拉伸試驗應力軟性係數為0.5
第一主應力為拉伸軸向應力,第二、第三主應力均為0;最大切應力為軸向拉伸應力一半
2.單向壓縮試驗中為2(材料的泊松比為0.25)
第三主應力為軸向壓縮應力,第一、第二主應力均為0;最大切應力為軸向壓縮應力的一半
3.扭轉試驗應力軟性係數為0.8
三個主應力分別為剪下應力、0和剪下應力的負值;最大切應力為剪下應力
