基本信息
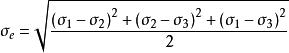
應力三軸度應力三軸度也稱三軸應力度,定義為靜水(平均)壓力比Mises等效應力,即
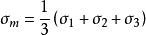
應力三軸度其中靜水壓力為主應力平均值,即
應力三軸度Mises等效應力為:
應力三軸度 也稱三軸應力度,定義為靜水(平均)壓力比Mises等效應力,即 其中靜水壓力為主應力平均值,即 Mises等效應力為:
基本信息
應力三軸度應力三軸度也稱三軸應力度,定義為靜水(平均)壓力比Mises等效應力,即
應力三軸度其中靜水壓力為主應力平均值,即
應力三軸度Mises等效應力為:
四、管道的變形 二、工業管道柔性設計的目的 工業管道支吊架的設計
基本信息 編輯推薦 內容簡介應力橢球(stress ellipsoid)是物體內一點的應力狀態的幾何形象。是由某一點周圍的應力矢量所確定的橢球。其球面是應力矢量末端或始端的軌跡。用...
概念 應力 矢量 橢圓圓度儀 (Roundness measuring instrument)是利用迴轉軸法測量圓度的長度測量工具。圓度儀是一種利用迴轉軸法測量工件圓度誤差的...
圓度儀的分類 圓度儀的原理 圓度測量方法 經典型號總應力法是抗剪強度指標的測定方法,採用總應力C、Φ值和天然重度γ(或飽和容量)計算土壓力,並認為水壓力包括在內。
概述 抗剪強度的總應力路徑軸(shaft)是穿在軸承中間或車輪中間或齒輪中間的圓柱形物件,但也有少部分是方型的。軸是支承轉動零件並與之一起迴轉以傳遞運動、扭矩或彎矩的機械零件。一...
材料使用 結構分類 用途套用 注意問題 聯軸器gears)0-50rpm主軸傳動功率(Main tran tran
三軸滾絲機設備有以下特點 三軸滾絲機滾制產品的特點 三軸滾絲機使用注意事項《岩石破裂過程的化學-應力耦合效應》是2010年出版的圖書,作者是《岩石破裂過程的化學應力耦合效應》要介紹作者在岩石破裂過程的化學一應力耦合效應研究方面...
內容介紹 讀者對象20章,由靜力學、材料力學以及運動學與動力學三部分組成。靜力學部分包括靜力學...公理(公理三)1.2.4 作用和反作用定律(公理四)1.3 約束和約束反力...拉伸和壓縮第6章 剪下與擠壓第7章 圓軸扭轉第8章 彎曲內力第9章...
歷史發展 研究領域 研究方法 理論分析 歷史沿革三坐標即三坐標測量機,英文Coordinate Measuring Machine,縮寫CMM,它是指在三維可測的空間範圍內,能夠根據測頭系統返回的點數...
簡介 工作原理 種類 套用領域 功能特點