簡介
在分子運動論中, 愛因斯坦關係是一個以前沒有想到的關係,由阿爾伯特·愛因斯坦在1905年和Marian Smoluchowski在1906年獨立發現:
愛因斯坦關係
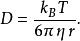
愛因斯坦關係把 D——擴散常數,和 μ——粒子的遷移率聯繫起來;其中是玻爾茲曼常數, T是絕對溫度。遷移率 μ是粒子的終極速度與作用力之比: μ= v/ F。
這個方程是漲落耗散定理的一個早期的例子。它在電致擴散的現象中經常使用。
粒子的擴散
愛因斯坦關係
愛因斯坦關係
愛因斯坦關係在低雷諾數的極限下,遷移率是阻力係數的倒數。對於半徑為的球形粒子,斯托克斯定律給出:
愛因斯坦關係
愛因斯坦關係其中是介質的黏度。因此愛因斯坦關係變為:
愛因斯坦關係這個方程也稱為 斯托克斯-愛因斯坦關係或 斯托克斯-愛因斯坦-薩瑟蘭方程。
電傳導
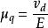
愛因斯坦關係當套用於電傳導的時候,通常把電遷移率定義為機械導納與載流子的電荷 q的乘積:
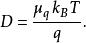
愛因斯坦關係也可以表述為:
愛因斯坦關係其中 E是施加的電場;因此愛因斯坦關係變為:
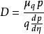
愛因斯坦關係在任意態密度的半導體中,愛因斯坦關係為:
愛因斯坦關係
愛因斯坦關係其中是化學勢,p是粒子數。
