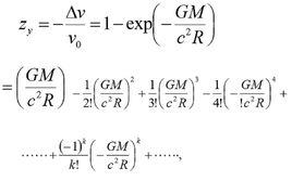
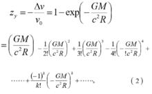
該引力紅移公式提出者在微積開概念 產生過程中推導產生。在相對論基礎下嚴格地論證了引力紅移應為
微積開引力紅移公式
微積開引力紅移公式上式(1)中⊿ v為引力紅稱變化的頻率,為觀測到的頻率, e為自然對數的底, G為萬有引力常數, M為天體質量, R為天體半徑, c為光速。其展開式為
(2)上式(2)中 k為自然數。
對於恆星,在 GM/(Rc^2) 很小時,忽略高次項,保留一次項即得到廣義相對論的引力紅移公式。
如太陽的引力紅移用廣義相對論的引力紅移公式求得值為2.1215165067121×10^-6,而(1.2.14)式求得值為 2.1215142562703×10^-6,二者在前 5 位有效數值內無區別,第 6 位有效數起才有差別。
只有在大引力紅移情況下二者才會有明顯的差別,把上式(1)套用到類星體建立類星體方程組,求解類星體SDSS DR7,得到的數據能更符合合理的解釋。
類星體赫羅圖
類星體赫羅圖由作者的理論求解的數據作出的類星體赫羅圖就有精細的軌跡。並在類星體的密集區存在一條鴻溝,鴻溝二側的類星體赫羅圖參數相近,為方便描述把圖中鴻溝上邊緣稱為北岸、下邊緣稱為南岸。 見圖冊的”類星體赫羅圖“。鴻溝的細節見圖冊的”細節放大圖“。
鴻溝二岸的類星體赫羅圖參數相近,但光譜特性卻有明顯的差異,請見圖冊中的”南北二岸光譜對照圖“或“南岸26QSO合成光譜”圖、“北岸44QSO合成光譜”圖。

