廣義相對論按時空彎曲推得引力紅移公式
引力紅移公式
引力紅移公式Δv為光子頻率變化量,為觀測到的光子頻率。
微積開引力紅移公式是根據相對論光子具有質量
引力紅移公式h為普郎克常數, v為光子頻率, c為光速。光子脫離引力場要消耗能量,所以產生引力紅移,光子能量hv變小,光子質量m也變小。
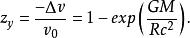
對於弱引力紅移天體,如太陽引力紅移,光子質量m只變小了在萬分之幾,可近似把光子質量m作常數處理來計算力場對光子的作用力,求得弱引力紅移公式為
引力紅移公式G為萬有引力常數,M為天體的質量,R為天體的尺度半徑。
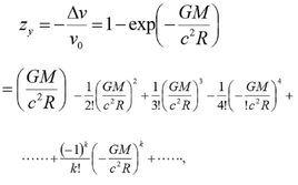
但對於強引力紅移天體,如類星體、脈衝星、白矮星等,光子質量m變小了5%以上,不可把光子質量m作常數處理來計算力場對光子的作用力,必須把光子質量m作為變數,因此求得強引力紅移公式為
引力紅移公式用類星體SDSS DR7數據統計分析,支持了上式。

