歷史
圖1.全球的地面引力波天文台分布圖最早實際投入運作的引力波探測器是1960年代美國馬里蘭大學的約瑟夫·韋伯製造的鋁質實心圓柱,通常稱為“棒狀探測器”,是一種“共振質量探測器”。1969年,韋伯宣稱他的探測器得到了可靠的結果,立刻引起轟動,但是後來的重複實驗都得到了零結果。此後義大利、澳大利亞、美國的科學家相繼建造了類似的鋁質圓柱形探測器,有的採取了更複雜的減震、低溫、真空等措施排除干擾,但是都沒有得到令人信服的證據。
1962年,俄國物理學者麥可·葛特森希坦與弗拉基斯拉夫·普斯投沃特最早發表論文提議建造干涉儀來尋找引力波,可是,這點子並未獲得重視。四年後,弗拉基米爾·布拉金斯基再度提出這點子,然而仍舊無疾而終。後來,約瑟·韋伯與萊納·魏斯也分別獨立發表出類似點子。韋伯的學生羅伯特·弗爾沃德在休斯研究實驗室工作時,受到魏斯的鼓勵,決定使用休斯研究實驗室的經費來製造一台干涉儀。1971年,弗爾沃德首先建成臂長8.5m的雛型引力波干涉儀,經過150小時的探測以後,弗爾沃德報告,並未探測到引力波。
70年代,魏斯團隊在麻省理工學院、漢斯·彼林團隊在德國加興的馬克斯·普朗克研究所、朗納·德瑞福團隊在格拉斯哥大學,分別建成並且投入運行雛型引力波干涉儀。同時期,基普·索恩在加州理工學院組成了實驗引力波團隊。1979年,他特別從格拉斯哥大學聘請德瑞福來領導這團隊,並且建造引力波干涉儀。1983年,在加州理工學院,索恩與德瑞福聯手建成一台40m臂長的引力波干涉儀。在麻省理工學院的魏斯團隊,由於申請到較少實驗經費,只能建成一台1.5m臂長的引力波干涉儀。兩個團隊激烈地兢爭,試圖計畫與建造更靈敏、更先進的引力波干涉儀。1984年,為了更有效率地運用有限資源,加州理工學院與麻省理工學院同意合作設計與建造雷射干涉引力波天文台(LIGO),並且由基普·索恩、朗納·德瑞福與萊納·魏斯共同主持這計畫。
1999年,在路易斯安那州的利文斯頓與在華盛頓州的漢福德分別建成相同的探測器。2002年正式進行第一次探測引力波,2010年結束蒐集數據。在這段時間內,並未探測到引力波,但是整個團隊獲得了很多寶貴經驗,靈敏度也越加改善。在2010年與2015年之間,LIGO又經歷大幅度改良,升級後的探測器被稱為“先進LIGO”(aLIGO),於2015年再次開啟運作。
另外,還有一些正在建造或運作中的地面干涉儀,例如,法國和義大利合作建造的處女座干涉儀(VIRGO)(臂長3000米)、德國和英國合作的GEO600(臂長600米)、以及日本正在建造中的神岡引力波探測器(KAGRA)(臂長3000米)等。另外,歐洲空間局(ESA)正在建造未來在太空中運行的雷射干涉空間天線(LISA),其將會被用來探測低頻引力波信號。
經過多年不懈努力,LIGO科學團隊與VIRGO團隊終於在2015年9月14日探測到兩個黑洞併合所產生的引力波。之後,在2015年12月26日、2017年1月4日、2017年8月14日分別三次探測到兩個黑洞併合所產生的引力波,又在2017年8月17日探測到兩個中子星併合所產生的引力波事件,這標誌著多信使天文學的新紀元已經來臨。
地面探測
共振質量探測器
引力波探測器“共振質量探測器”分為兩類:“棒狀探測器”與“球狀探測器”。棒狀探測器的靈敏度主要源自於圓柱體尖銳的共振頻率,其半峰全寬通常只有一到幾個赫茲。通常鋁質圓柱體長約3米,共振頻率大約在500赫茲至1.5千赫茲之間,質量約為1000千克,用細絲懸掛起來。當引力波照射到圓柱時,圓柱會發生諧振,繼而可以通過安裝在圓柱周圍的壓電感測器檢測到。假設一個波幅為的短暫引力波照射到圓柱,則圓柱會被震動,震幅為
引力波探測器共振質量探測器主要會遭遇到三種噪聲:熱噪聲、感測噪聲和量子噪聲。為了要測量到引力波的波幅,必須儘量削減這些燥聲。
原本的韋伯棒狀探測器的運作溫度為室溫。為了削減熱燥聲,當今,最先進的棒狀探測器之一AURIGA的運作溫度為0.1K。
雷射干涉儀
當今最具規模的雷射干涉引力波天文台(LIGO)主要是由加州理工學院和麻省理工學院負責運行,它也是美國國家科學基金會資助的最大科研項目之一。LIGO在兩個站點建造有三台探測器,在華盛頓州的漢福德(Hanford)建有雙臂長度分別為4千米和2千米的兩台探測器(LIGO Hanford Observatory,簡稱LHO),而在路易斯安那州的利文斯頓建有一台雙臂長度為4千米的探測器(LIGO Livingston Observatory,簡稱LLO),相距漢福德3002千米。LIGO採用了多種尖端科技。LIGO的防震系統能夠壓抑各種震動噪聲,真空系統是全世界最大與最純的系統之一,光學器件具備前所未有的精確度,能夠測量比質子尺寸還小一千倍的位移,電算設施的高超功能足以處理龐大實驗數據。。2002年起,LIGO正式啟動數據採集工作,至2010年共執行了六次科學探測工作之後計畫結束,最佳靈敏度已經達到10的數量級。
2009至2010年,LIGO升級為Enhanced LIGO並進行了第六次科學探測,即S6。其雷射功率從10瓦特提高到30瓦特以上,探測範圍可擴大8倍。在2010年與2015年之間,LIGO進行了名為“先進LIGO”(Advanced LIGO)的升級計畫,簡稱aLIGO。2015年,aLIGO正式投入使用,雷射功率從初始版LIGO的10瓦特提升至200瓦特左右,探測頻帶下限從40Hz延伸到10Hz,靈敏度比初始版LIGO高出10倍,這意味著aLIGO能夠探測引力波的距離比先前高出10倍,探測範圍也擴大1000倍以上,能夠探測到的可能引力波波源比先前多出1000倍。
處女座干涉儀(VIRGO)位於義大利比薩附近,是一架雙臂長度為3千米的地面雷射干涉儀,所在地點也叫做歐洲引力波天文台(European Gravitational Observatory)。VIRGO自2007年起開始進行科學觀測,並且參與了S5的最後部分探測工作,VIRGO具有和LIGO相媲美的靈敏度。在進行了大約五年,2千4百萬歐元的升級之後的處女座干涉儀,稱為“先進VIRGO”,於2017年8月1日正式加入LIGO兩個探測器搜尋引力波,這三個探測器共同運作應該能夠較為精確地給出引力波波源的位置。
日本計畫在2019年建成神岡引力波探測器(KAGRA),它的600米長的干涉臂被深埋在200米的岩石下,它的測試質量也會被降溫至20K。物理學者認為,這兩個手段將能減低燥聲,因此提高靈敏度。
GEO600位於德國漢諾瓦,是雙臂長度為600米的探測器,其工作頻寬為50赫茲至1.5千赫茲。GEO600自2002年起開始科學探測。
來自太空的探測
太空飛行器測距
引力波會影響行星際太空飛行器通信信號的返回時間,美國國家航空航天局和歐洲空間局都在進行偵測這一效應的實驗。例如,對於正在木星和土星附近的太空飛行器(包括卡西尼-惠更斯號等),其信號返回時間在2至4×10 秒的數量級。引力波會導致信號時間的變化,如果事件的時間短於這一數量級,那么,按照三項公式這種變化樣式會出現三次:一次是引力波經過地面的發射器,一次是經過太空飛行器,一次是經過地面的接收器。搜尋這樣的引力波信號需要在數據分析中採用模式匹配算法。利用兩個不同的發射頻率和很穩定的原子鐘,靈敏度的量級估計可以達到10 ,並有可能進一步提高到10 。
脈衝星計時
脈衝星是宇宙的計時器,其中,毫秒脈衝星的計時功能最為規律。毫秒脈衝星所發射的電磁輻射抵達地球的時間,可以被預測至納秒精確度。由於脈衝星所發射的信號具有極高的規律性,所以可以從觀察到在計時方面的不規律性,估算出隨機背景引力波的上限。
脈衝星計時陣列用一組脈衝星的脈衝訊號抵達時間來尋找任何有關聯的信息。在地球與脈衝星之間的時空會被通過的引力波彎曲,從而導致脈衝星所發射的脈衝訊號傳播至地球的時間有所改變。由毫秒脈衝星組成的脈衝星計時陣列可以用來尋找有關聯的改變,從而探測出引力波。
當今,主要有三個實驗正在進行:北美納赫引力波天文台、歐洲脈衝星計時陣列與帕克斯脈衝星計時陣列。為了共同分享實驗數據,這三個實驗團隊又組成國際脈衝星計時陣列。未來,會有更多更具功能的實驗陸續參與探測引力波,例如,平方千米陣與位於荷蘭的低頻陣列。
雷射空間干涉
在低頻波段(低於1赫茲),任何引力波源的低頻引力波到達地球時,振幅都會比地球上的震動噪聲低很多;處於太空中的探測器則不會受到地球噪聲環境的影響。在歐洲空間局的LISA計畫中,探測頻率波段為0.0001赫茲至0.1赫茲的低頻引力波,由三個同樣的太空飛行器組成邊長為250萬公里的等邊三角形,整體沿地球軌道繞太陽公轉。LISA的干涉臂長超過任何頻率高於60毫赫茲的引力波的半波長,在這個範圍內三項公式成立。每一個太空飛行器內部都載有一個30cm望遠鏡與2瓦特雷射系統。
與地面干涉儀不同的是,由於太空飛行器相距很遠,雷射在傳播途中的大幅衰減造成LISA不能使用單純的平面鏡來反射雷射,採用光學鎖相的辦法,將要發射信號的相位鎖至接收信號的相位上再將其發射出去。這一過程原理上是一個光學轉發器,其效果和地面干涉儀的平面鏡反射是相同的,本質上相當於雷射從一個太空飛行器發射,到達另一個太空飛行器後再返回,這個延遲信號與本地的原始信號發生干涉,LISA主要就是測量這種干涉信號的相位。
對LISA而言,來自外界的影響主要是太陽的輻射壓和太陽風的動壓強。為了減小這些影響,滿足廣義相對論實驗驗證的嚴格要求,LISA採用了先進無阻尼技術,使用太空飛行器本身作為內部測試質量的防護罩,保護測試質量不被外界影響,促使測試質量能夠自己沿著測地線運動,呈自由落體狀態,與太空飛行器沒有任何牽纏,太空飛行器對測試質量的位置作出精確的監測,並且自動開啟噴氣來改變位置,使得自己與測試值量之間維持安全距離,避免任何接觸。因此,太空飛行器需要裝制能夠精確給出微小推力的推力器。為了成功達成任務,LISA必須具備三個關鍵技術:先進的推力器、超靈敏的加速度計、能夠連續幾年穩定發射2瓦特功率的紅外雷射。於2015年發射升空的雷射干涉空間天線開路者號(LISA Pathfinder)已成功測試了這些技術,為LISA鋪設了康莊大道。
歐洲空間局計畫於2030年發射LISA,任務為期4年,可延長至10年。LISA的主要的任務為,研究銀河系內的雙星系統的形成與演化、探查緻密星體繞著大質量黑洞的公轉動力學、追溯超大質量黑洞的併合起源與演化、解析恆星黑洞的天體物理學、探索引力與黑洞的基本秉性、估算宇宙膨脹的速率、了解隨機引力波背景的起源與意涵。
除了LISA以外,另外還有幾個在空間類似運作的雷射干涉引力波探測器計畫。分赫引力波干涉天文台計畫的操作頻帶為0.1-10Hz,在LISA與地面探測器的操作頻帶之間,主要目的是直接觀測宇宙的初始,即在大爆炸後10-10秒之瞬間,從而試圖揭露宇宙的奧妙起源。更具野心的大爆炸天文台是美國太空總署的計畫,操作頻率與分赫引力波干涉天文台 相同,意圖探測宇宙暴脹所導致的引力波背景。
探測原理
LIGO 使用的干涉儀是邁克耳孫干涉儀,其套用雷射光束來測量兩條相戶垂直的干涉臂的長度差變化。在通常情況下,不同長度的干涉臂會對同樣的引力波產生不同的回響,因此干涉儀很適於探測引力波。在每一種干涉儀里,通過雷射光束來量度引力波所導致的變化,可以用數學公式來描述;換句話說,假設從雷射器發射出的光束,在傳播距離L之後,被反射鏡反射回原點,其來回過程中若受到引力波影響,則行程所用時間將發生改變,這種時間變化可以用數學公式來坐定量描述。
引力波探測器
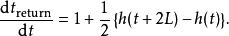
引力波探測器更仔細地描述,假設一束引力波是振幅為h的平面波,其傳播方向與雷射器的光束傳播方向的夾角為,並假設光束的發射時間與返回時間分別為t、,則返回時間對發射時間的變化率為。
引力波探測器伯納德·舒爾茨把這一公式稱作“三項公式”,其為分析所有干涉儀對信號回響的出發點。單徑系統也可以使用三項公式 ,但其靈敏度是被時鐘的穩定性所限制。干涉儀的兩條幹涉臂可以相互用來當做時鐘比較,因此,干涉儀是非常靈敏的光束探射器。
假設干涉臂長超小於引力波的波長,則干涉臂與引力波相互作用的關係可近似為
引力波探測器假設引力波傳播方向垂直於光束傳播方向,即兩者之間的夾角為{\displaystyle \theta =\pi /2},則三項公式變為
引力波探測器
引力波探測器
引力波探測器
引力波探測器注意到這導數隻跟返回時的引力波振幅與出發時的引力波振幅有關。假設這雷射光束是初始發射的頻率為的電磁波,則這導數是電磁波的頻率變化:
引力波探測器因此,只要能夠量度返回電磁波的紅移,則可估算引力波振幅的改變。假設干涉臂長超小於引力波的波長,則干涉臂與引力波相互作用的近似關係式為
引力波探測器假設干涉儀的兩條幹涉臂相互垂直,並且垂直於引力波傳播方向,則類似地,可以計算出另一條幹涉臂與引力波相互作用的近似關係式為
引力波探測器引力波對於干涉儀所產生的回響是這兩個關係式的差值:
引力波探測器對於這公式做時間積分,可以得到光束傳播於兩條幹涉臂的時間差:
引力波探測器換算成單條幹涉臂的長度差,
引力波探測器LIGO的長度為4千米的干涉臂由振幅為10的引力波所引起的長度變化為:
引力波探測器光束只需10 秒就可以走完干涉臂的往返距離,這比一般典型的引力波周期要短很多。因此,讓雷射在這段距離內反覆多走幾次也不會影響觀測,而且有顯著的好處。如果讓雷射在這段距離內往返100次,則有效光程長度提高了100倍,而特定雷射相位變化等效的長度變化也因此提升到10 米的量級。大多數干涉儀都使用低透射率平面鏡製成的光學腔,即所謂法布里-珀羅干涉儀,來提升雷射在干涉臂內的往返次數。
減噪原理
主要影響雷射干涉儀的噪聲可以分為兩大類:“位移噪聲”與“感測噪聲”。位移噪聲是因實驗器具的移動而形成的噪聲,例如,地噪聲、熱噪聲。感測噪聲是對於實驗器具的微小位移所進行的量度而產生的噪聲,例如,散粒噪聲。
量子效應
引力波探測器散粒噪聲是一種量子噪聲,此外還存在類似於棒狀探測器表面出現的量子噪聲,例如反射鏡表面零點能的振動等,這種量子噪聲的極限都由海森堡不確定性關係式決定。這類噪聲在當前仍然在干涉儀的靈敏度極限以下,但在未來隨著靈敏度進一步的提高,就可能變得更為顯著。增加反射鏡的質量是降低這類噪聲的手段之一,因為振動的振幅和質量的平方根成反比。
引力梯度噪聲
引力梯度噪聲源自於於當地的牛頓引力場在測量時間尺度內的變化,又稱為“牛頓噪聲”。引力波探測器不單會對引力波產生回響,還會同樣地對當地的潮汐力產生回響,兩者實際上無法區分。這些源自於當地的牛頓噪聲包括人造噪聲,例如儀器、車輛等外界干擾,更重要的是自然噪聲,例如地震波所引起的引力場變化以及空氣氣壓變化所引起的空氣密度變化等。噪聲的頻譜隨著頻率升高而急劇下降,因此對於第一代的干涉儀這不是一個問題,但有可能會對下一代干涉儀的靈敏度造成限制,也是頻率在1赫茲以下的低頻引力波必須在宇宙空間中探測的主要原因。
由於牛頓噪聲直接與測試質量耦合,越過了所有機械削減手段,因此無法使用任何地震濾波器或防護罩來壓抑牛頓噪聲。在地球表面,在頻率低於10赫茲,牛頓噪聲會掩蓋過引力波信號。因此,像愛因斯坦望遠鏡一類的新一代引力波干涉儀,很可能必須建造在地下洞內部的噪聲較低的區域。在20赫茲頻率,為了要滿足愛因斯坦望遠鏡的普通靈敏度要求,牛頓噪聲必須被壓抑10倍。忽略其它噪聲,在1赫茲頻率,牛頓噪聲必須被壓抑1000倍,才有可能探測到引力波。

