簡介
復導納為連線埠電流相量與電壓相量之比,用Y表示,單位為S(西門子)。
復導納由上式不難看出
復導納
復導納
復導納
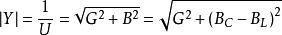
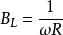
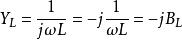
復導納其中G=1/R為電阻元件的電導; 為電感元件的感納;B=ωC為電容元件的容納,B=B-B,稱為電路的電納。它們的單位都是S(西門子)。因為=U,故:
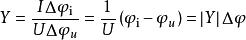
Y和φ分別是復導納的模和幅角,Y稱為導納,幅角稱為導納角。電路的|Y|、G、B可以組成一個三角形,稱為導納三角形。
特點
復導納Y綜合反映了電流與電壓的大小及相位關係。
當B>B時,φ′>0,電流超前於總電壓,電路呈容性;
當B<B時,φ′<0,電流滯後於總電壓,電路呈感性;
當B=B時,φ′=0,電流與總電壓同相,電路呈阻性,此時電路處於諧振狀態。
與復阻抗關聯
復阻抗的倒數稱為復導納。
右圖展示的是電阻、電感、電容串聯或並聯時的性能方程、復阻抗或復導納。
電阻、電容串聯或並聯時的復阻抗和復導納套用
導納法分析RLC並聯電路
R、L、C元件對應的導納分別為:
復導納
復導納
RLC並聯電路(a) R、L、C並聯電路 (b) 相量圖
根據基爾霍夫電流定律,可得i=i+i+i
其相量形式為
復導納
復導納設連線埠電壓相量為 =U∠φ,則各元件電流相量分別為
復導納
復導納
復導納, ,
由基爾霍夫定律可知,電流相量
復導納交流電路中,R、L、C三者並聯時,I=YU(其中IU均為相量複數).多個復導納並聯的電路,其等效復導納 Y=Y+Y+···Y。

