定義
徑向量徑向量(radius vector)亦稱 向徑,又稱 徑矢。一種特殊向量,指始點在坐標原點O的向量,向徑又稱為點P的位置向量,常以p表示點P的位置向量,這樣,點與位置向量有一一對應的關係 。
徑向量
徑向量
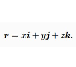
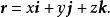
徑向量以原點O為起點,以點M(x,y,z)為終點的向量 稱做 徑向量,記作 ,或簡記作 。由於徑向量的坐標與其終點M的坐標相同,所以它按基本向量的分解為 :
徑向量線段的表示
徑向量
徑向量
徑向量
徑向量
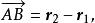
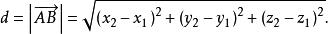
徑向量以點 為起點而以點 為終點的向量 可以表示為: 其中 r是B點的徑向量,而 r是A點的徑向量,因此向量 按基本向量的分解為
徑向量
徑向量向量 的長度等於A與B兩點之間的距離:
徑向量
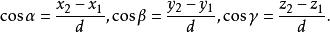
徑向量根據前面的公式,向量 的方向決定於它的方向餘弦:
徑向量例題解析
徑向量
徑向量
徑向量【 例1】三角形ABC的AB邊被點M、N分成三等份, 。設 試求向量 。
徑向量
徑向量
徑向量解:有 從而 因為 故
徑向量
徑向量
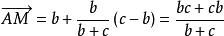
徑向量【 例2】直線AM是三角形ABC中∠BAC的平分線,而M位於BC邊上,設 求 。
徑向量
徑向量
徑向量
徑向量
徑向量
徑向量解:有 由三角形之內角平分線的性質,知有 即 由此得 因為 所以 。
徑向量
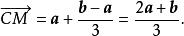
徑向量【 例3】 和 為三角形ABC頂點的徑向量,求三角形之中線交點的徑向量。
徑向量
徑向量
徑向量解:有 (D是BC邊的中點); (M是中線的交點),所以 於是
徑向量或
徑向量
